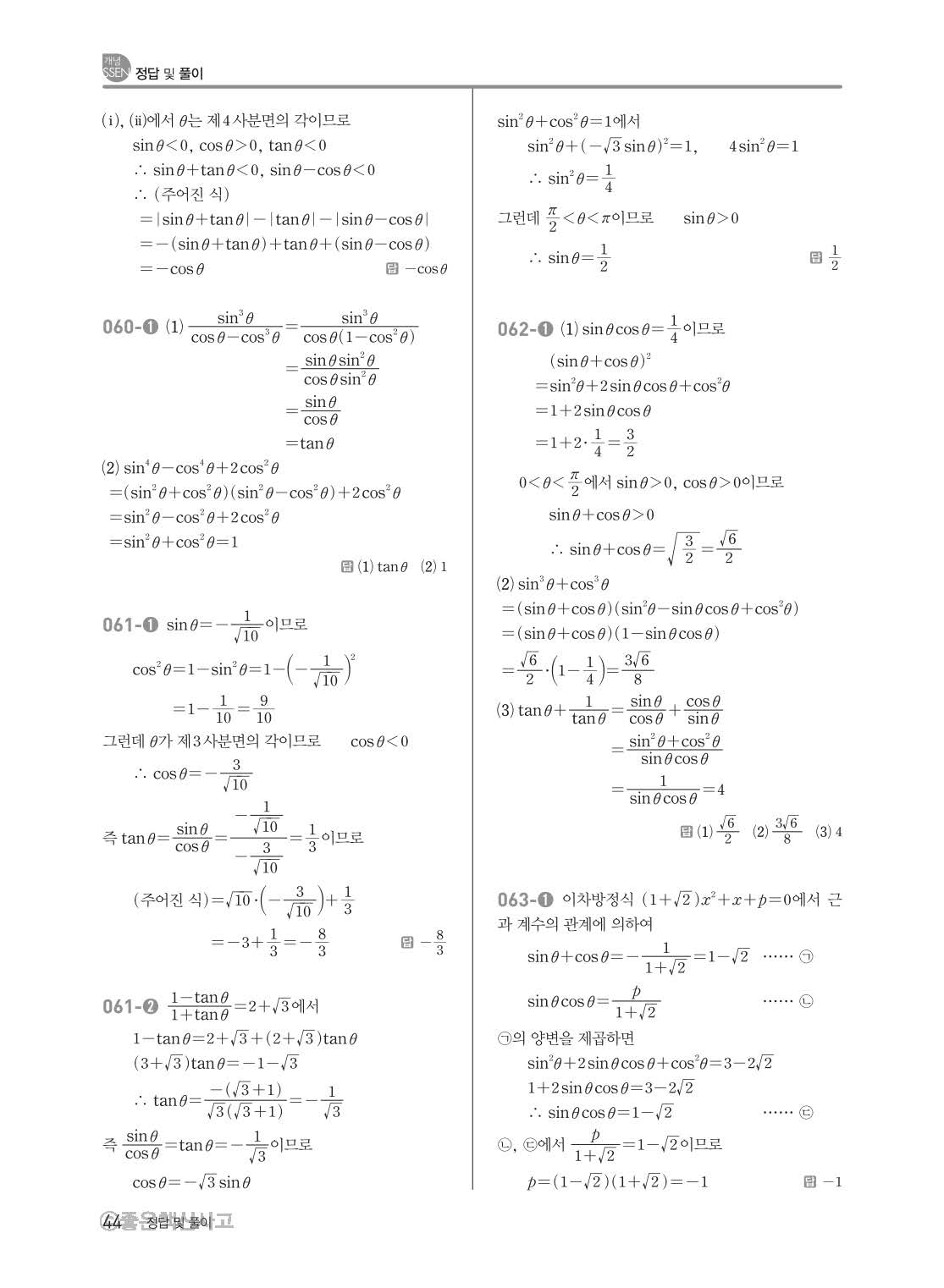
반응형

여러분의 하트 하나에 큰 힘이 납니다
진심으로 감사드립니다
'로그인없이' 누르실 수 있어요
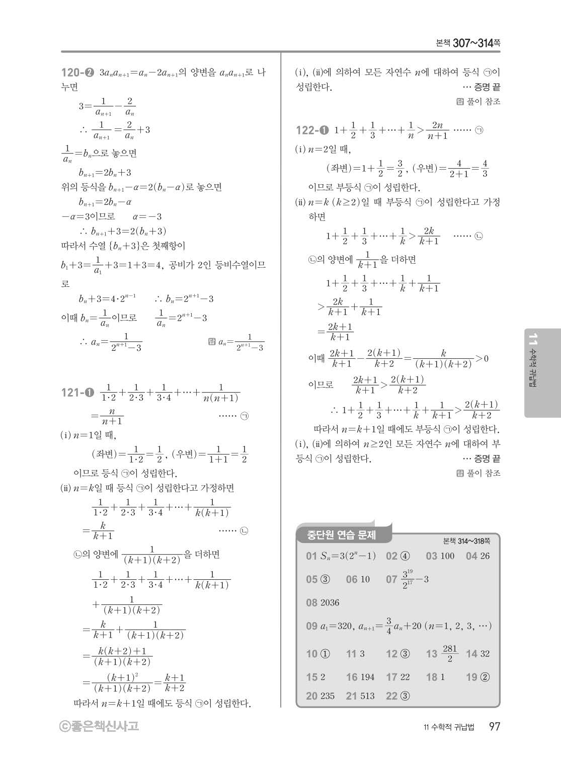
개념쎈 고등수학1 답지 해설지 사진답지 빠른답지 모바일최적화
다운로드 받을필요 없이 바로 볼수 있는 모바일에 최적화된 답지 입니다
필요한 답지가 있다면 댓글로 신청해주세요
최대한 빨리 찾아서 올려드리겠습니다
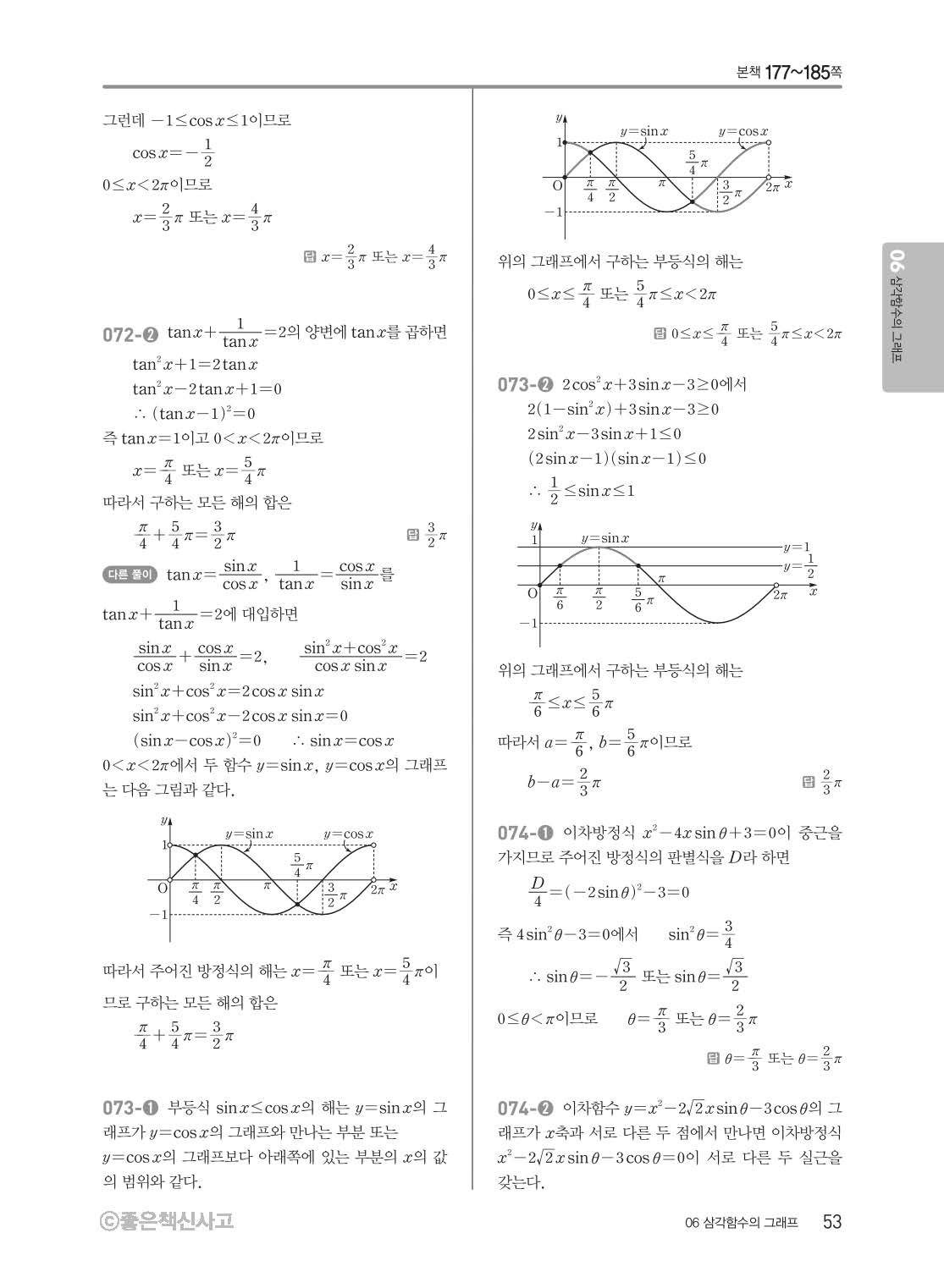
개념쎈 고등수학1 답지 해설지 사진답지 빠른답지 모바일최적화








































































































반응형

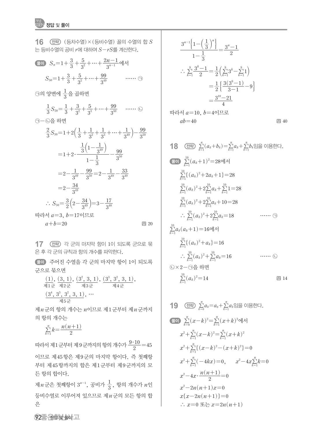
개념쎈 고등수학1 답지 해설지 사진답지 빠른답지 모바일최적화
다운로드 받을필요 없이 바로 볼수 있는 모바일에 최적화된 답지 입니다
필요한 답지가 있다면 댓글로 신청해주세요
최대한 빨리 찾아서 올려드리겠습니다
개념쎈 고등수학1 답지 해설지 사진답지 빠른답지 모바일최적화







































































































