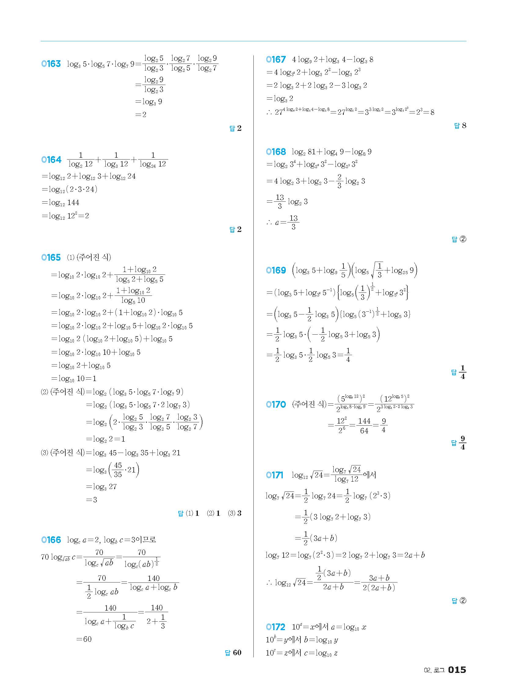
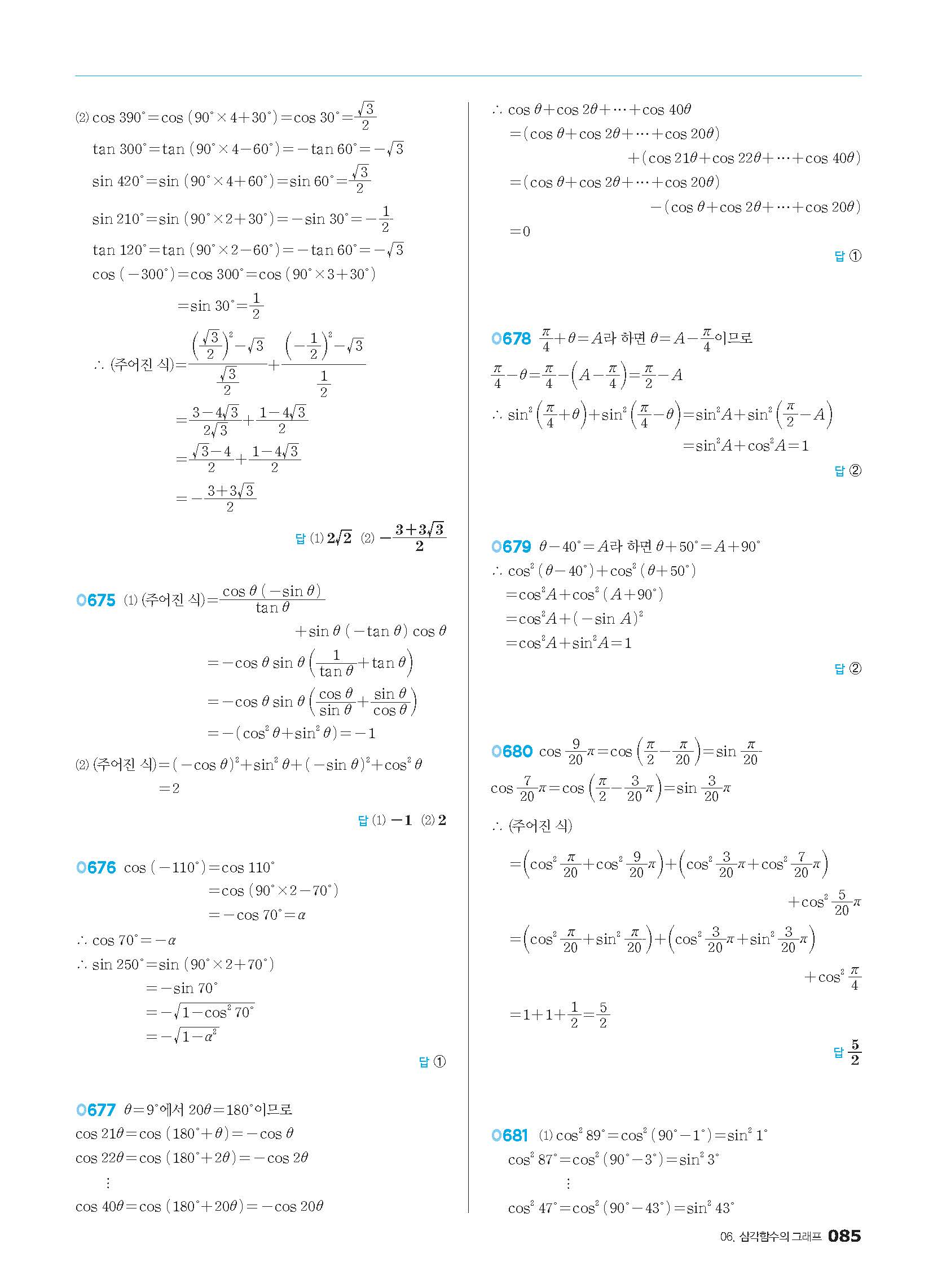
반응형
개정 알피엠 수학1 RPM수학1 답지 사진답지 빠른답지 모바일최적화
다운로드 받을필요 없이 바로 볼수 있는 모바일에 최적화된 답지 입니다
필요한 답지가 있다면 댓글로 신청해주세요
최대한 빨리 찾아서 올려드리겠습니다
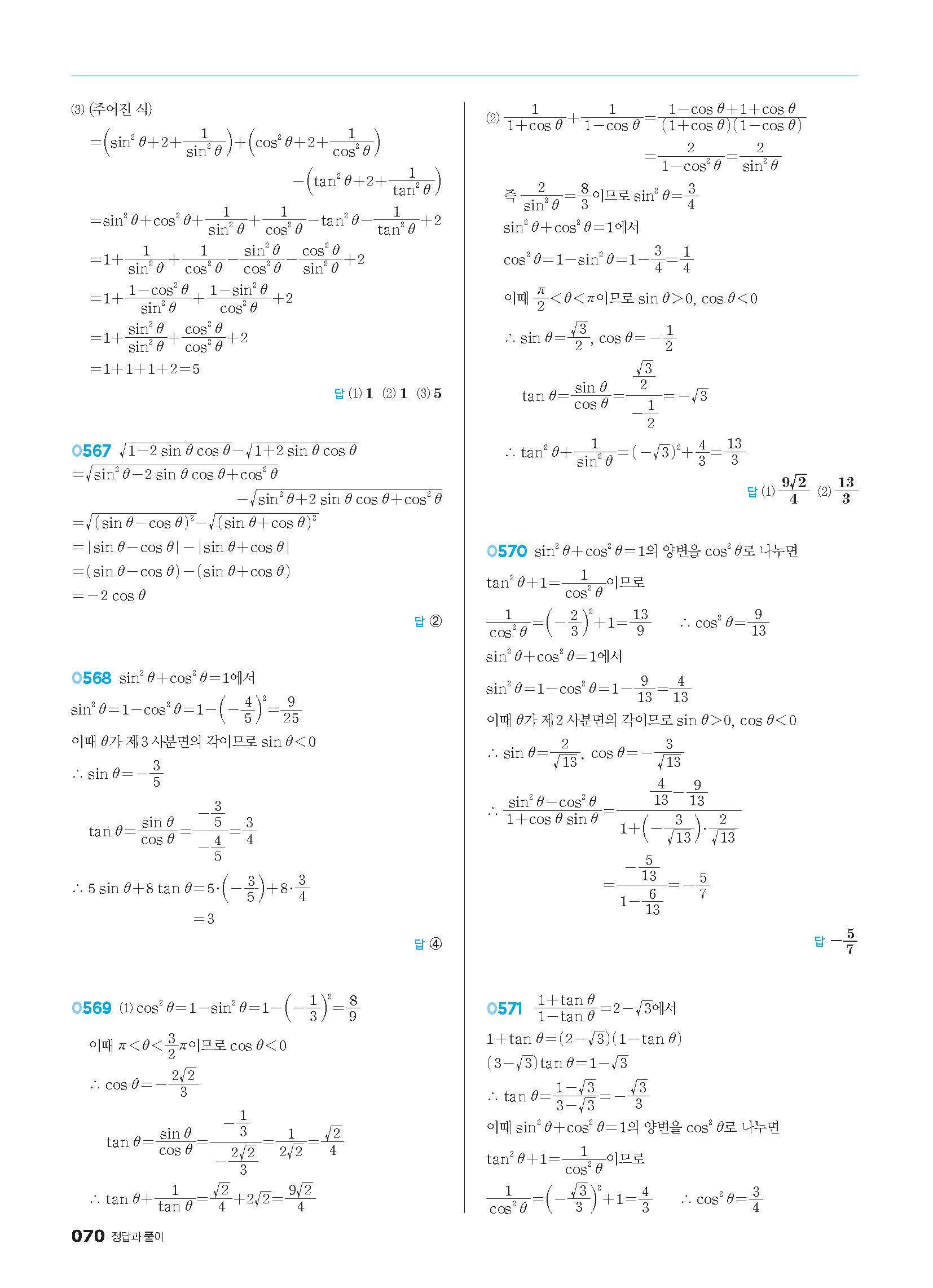
개정 알피엠 수학1 RPM수학1 답지 사진답지 빠른답지 모바일최적화
































































































































































반응형
개정 알피엠 수학1 RPM수학1 답지 사진답지 빠른답지 모바일최적화
다운로드 받을필요 없이 바로 볼수 있는 모바일에 최적화된 답지 입니다
필요한 답지가 있다면 댓글로 신청해주세요
최대한 빨리 찾아서 올려드리겠습니다
개정 알피엠 수학1 RPM수학1 답지 사진답지 빠른답지 모바일최적화































































































































































