본문 바로가기
카테고리 없음

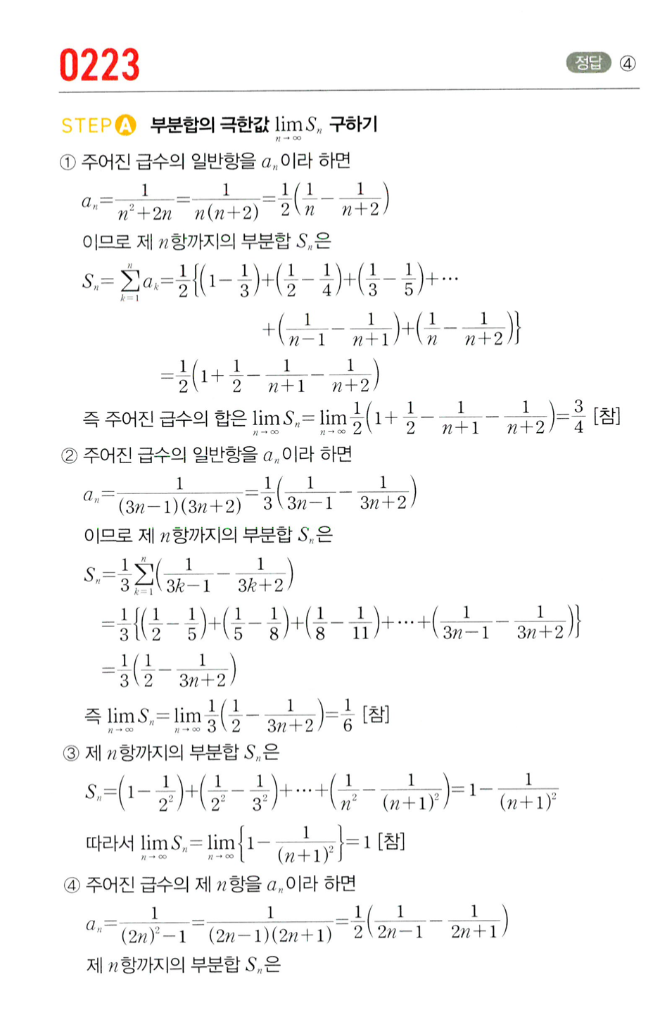
마플SNG미적분 답지와 해설 풀이영상 201-250

by 쎈답지 2022. 6. 19.
반응형

고등학생이 꼭 알아야 할 장학금 제도 총정리 💰📚

 등록금 걱정 줄이고, 혜택 받는 법!
 성적 장학금부터 소득 연계 장학금까지 완벽 분석

고등학교에 올라오면서 “장학금”이라는 말을 많이 들어봤을 거야.
대학 등록금이 비싼 만큼, 장학금을 잘 활용하면 부담을 크게 줄일 수 있어.
그렇다면 고등학생 때부터 준비할 수 있는 장학금은 어떤 것들이 있을까?
오늘은 고등학생이 꼭 알아야 할 장학금 제도를 총정리해볼게!


1️⃣ 성적 장학금 – 성적만으로 받을 수 있는 혜택 🎓

 국가장학금 (Ⅰ유형, Ⅱ유형)

  • 대학 진학 후 받을 수 있는 대표적인 장학금
  • 가구 소득과 무관하게 내신 성적이 좋으면 받을 수 있음
  • 대학별 기준이 다르지만 고교 내신 1~2등급 학생은 주목!

 대학별 성적 우수 장학금

  • 각 대학마다 내신 및 수능 성적이 우수한 학생들에게 장학금 지급
  • 주로 입학 성적이 높은 학생들에게 자동으로 지급됨
  • 고1 때부터 꾸준한 내신 관리가 중요!

💡 TIP
🔹 "고등학교 1학년 때부터 성적 관리하는 게 왜 중요할까?"
→ 대학 입학 후 받을 수 있는 성적 우수 장학금은 대부분 내신 등급을 기준으로 지급돼!
 고1~고3 성적이 쌓이면서 장학금 혜택을 받을 확률 UP!


2️⃣ 국가 지원 장학금 – 정부에서 주는 혜택 💰

 국가장학금 (소득연계 장학금)

  • 중위소득 200% 이하 가구를 대상으로 지급
  • 한국장학재단에서 신청 가능 (신청 기간: 수능 이후 매년 12월~1월)
  • 대학 등록금 부담이 큰 학생들에게 큰 도움!

 다자녀 가구 장학금

  • 3명 이상 자녀를 둔 가정이면 장학금 지급
  • 등록금 50%~100% 감면 혜택 가능

 국가근로장학금

  • 대학 입학 후, 학교 및 기업에서 아르바이트 형태로 근로하며 장학금 지급
  • 한 학기당 최대 200~300만 원 지급 가능

💡 TIP
 국가장학금 신청할 때 반드시 부모님의 소득 정보 확인!
 고3 겨울방학 때 미리 신청해두면 대학 입학 후 바로 받을 수 있음!


3️⃣ 기업 및 재단 장학금 – 고등학생도 받을 수 있음! 🏢

 삼성꿈장학재단 장학금

  • 경제적 어려움을 겪는 학생들을 위한 장학금
  • 성적이 우수하거나 특정 분야(과학, 예체능 등)에서 두각을 나타내는 학생 대상

 포스코청암재단 장학금

  • 이공계열 전공 예정자 대상으로 지급
  • 고1 때부터 수학·과학 내신 성적 관리 필수!

 KT&G 장학재단

  • 예체능 및 문화예술 관련 진로를 희망하는 학생들을 위한 장학금
  • 포트폴리오나 수상 경력이 있으면 유리

💡 TIP
📢 기업 장학금은 학교 선생님 추천을 받아야 하는 경우가 많으니, 미리 상담해보자!


📌 마무리 – 장학금 신청, 언제부터 준비해야 할까?

 고1부터 성적 관리 & 내신 등급 유지 필수!
 부모님의 소득 수준을 확인하고 국가장학금 대상인지 체크
 기업 장학금은 지원 시기가 정해져 있으니 미리 확인
 학교 선생님과 상담 후 추천서 받을 수 있는 장학금 탐색

💡 대학생이 되어서 장학금 신청하려고 하면 이미 늦어!
📢 고등학생 때부터 미리 준비하면, 대학 등록금을 크게 줄일 수 있어.
📌 이 글을 공유해서 친구들에게도 도움을 주자! 😊

📚 고등학생이라면 꼭 알아야 할 필수 정보 🔥

고등학교 생활을 하면서 중요한 것은 공부뿐만 아니라 미래를 위한 준비입니다. 많은 학생들이 대입을 목표로 열심히 공부하고 있지만, 대학 등록금이나 생활비를 고려하면 장학금 정보나 학자금 대출도 미리 알아두는 것이 좋습니다.

또한, 요즘은 스마트폰을 많이 사용하다 보니, 휴대폰 보험이나 전자기기 보증 연장 서비스 같은 것도 한 번쯤 생각해볼 만한 요소입니다. 대학에 진학한 후에는 노트북이나 태블릿을 자주 사용하게 되는데, 이런 기기를 보호할 수 있는 보험 상품을 미리 비교해보는 것도 나쁘지 않죠.

💡 대학생을 위한 인기 금융 상품 TOP 3 1️⃣ 학자금 대출 및 정부 지원금
2️⃣ 대학생 전용 신용카드 및 체크카드
3️⃣ 해외 유학 준비를 위한 환율 우대 계좌

👉 많은 학생들이 대학교에 입학한 후 갑자기 돈 관리의 필요성을 느낍니다. 따라서 미리 재테크와 금융 지식을 공부해두는 것이 중요합니다. 최근에는 주식 투자 ETF 투자에 관심을 가지는 학생들도 많아지고 있습니다.

💰 경제 공부를 위한 필독 도서 추천

  • 《부자가 되는 첫걸음, 용돈 관리부터 시작하자》
  • 《어린이를 위한 주식 투자 첫걸음》
  • 《돈의 심리학: 부를 유지하는 기술》

https://www.youtube.com/watch?v=LSx_AaVBPbs&list=PLbqWmdmW8gdJPPFKRMghahbE0SEr824H3

https://www.youtube.com/watch?v=rP0b-a0OE18&list=PLYk4iCNHL2RtJww9mtujBq586Hj7CMeyT

https://www.youtube.com/watch?v=c0f3pmbzkg4&list=PLvabmVCvpX7WY3Ks5Vb2U1YNkS4bAAO0M

https://www.youtube.com/watch?v=fEDPJGRkN4Y&list=PLBN2OkFHGp1yA0-xiUx-gnbruxWkhFyRA

 

https://www.youtube.com/watch?v=2NsQhgA6c9M&list=PLpAv_3FxM-_HRomAUVkzeWkhas5_Z8XyG

 

 

 

 

유학 준비하는 학생들을 위한 필수 수학 학습 가이드

유학을 준비하면서 수학 공부가 고민되시나요? 해외 대학 입시에서는 SAT, ACT, AP Calculus, IB Math 등 다양한 시험에서 수학 실력이 중요한 평가 요소로 작용합니다. 특히 미국, 캐나다, 영국, 호주 등의 대학은 고등학교 내신(GPA)과 함께 수학 성적을 중요하게 고려하기 때문에 체계적인 학습이 필수입니다.

이 블로그에서는 유학을 준비하는 학생들을 위해 수학 문제 풀이와 함께 유학 정보를 제공합니다.

📌 유학 준비생을 위한 핵심 정보

 SAT, ACT, AP, IB 수학 시험 대비법
 미국, 캐나다, 영국, 호주 수학 커리큘럼 비교
 GPA 관리 및 유학 준비 전략
 고등학생이 해외 대학 입시를 위해 꼭 들어야 할 수학 과목
 수학 실력을 빠르게 향상시키는 학습법

유학을 준비하는 학생이라면 단순한 문제 풀이가 아니라, 대학 입시 경쟁력을 높이는 전략적인 학습이 필요합니다. 이 블로그에서 제공하는 수학 답지 및 학습 자료를 활용하여 목표 대학에 한 걸음 더 가까워지세요!

📢 최신 유학 및 수학 학습 정보가 필요하다면?
이 블로그를 즐겨찾기하고 정기적으로 업데이트되는 유학 대비 수학 학습 자료를 받아보세요! 🚀✨

 

 

반응형