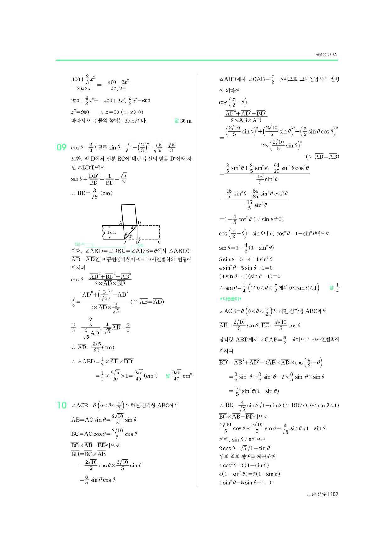
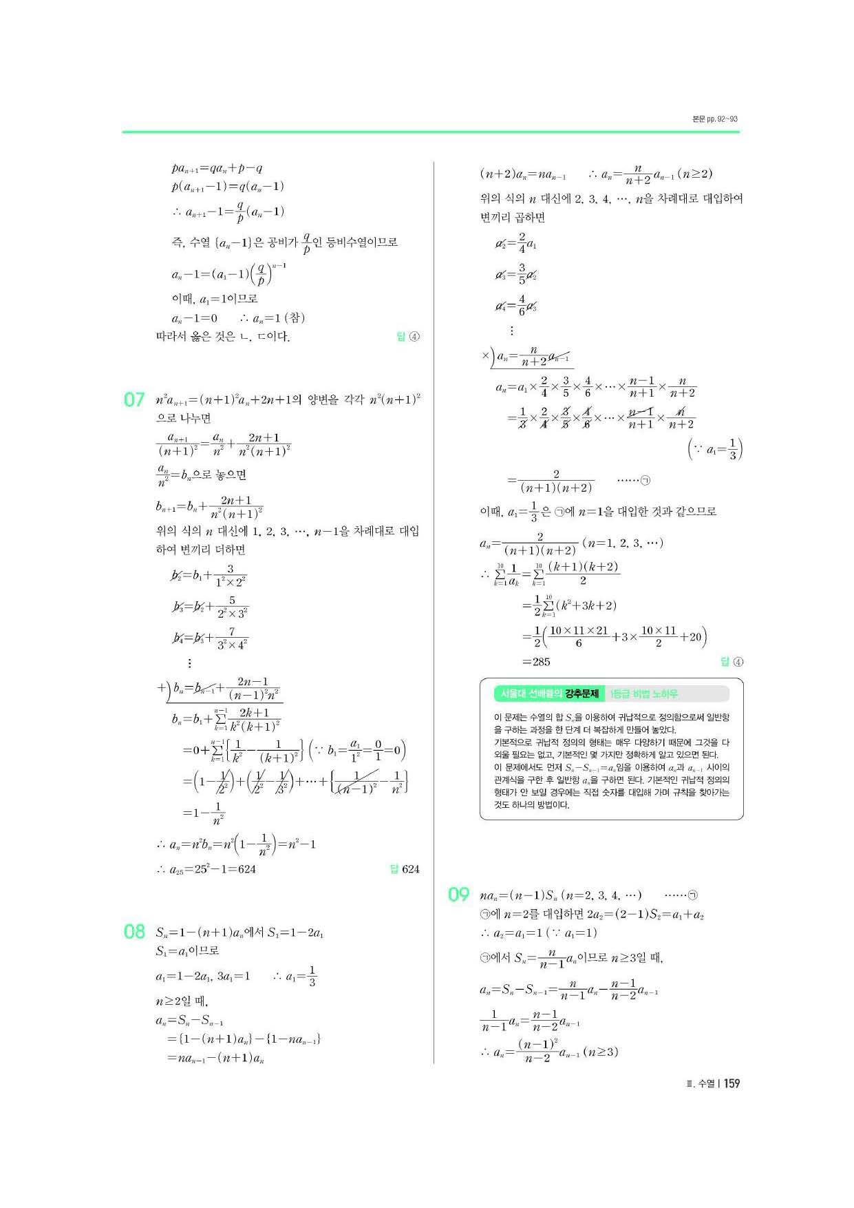
반응형

블랙라벨 수학1 답지 해설 사진답지 빠른답지 모바일최적화
다운로드 받을필요 없이 바로 볼수 있는 모바일에 최적화된 답지 입니다
필요한 답지가 있다면 댓글로 신청해주세요
최대한 빨리 찾아서 올려드리겠습니다
블랙라벨 수학1 답지 해설 사진답지 빠른답지 모바일최적화








































































































































































반응형

블랙라벨 수학1 답지 해설 사진답지 빠른답지 모바일최적화
다운로드 받을필요 없이 바로 볼수 있는 모바일에 최적화된 답지 입니다
필요한 답지가 있다면 댓글로 신청해주세요
최대한 빨리 찾아서 올려드리겠습니다
블랙라벨 수학1 답지 해설 사진답지 빠른답지 모바일최적화







































































































































































