
1. 시험에 나오는 모든 문제를 이 한 권에
전국 고등학교 내신 기출 문제와 평가원?수능 기출 문제는 물론 수많은 기본서, 내신서, 수능서까지 분석하여 모든 수학 문제를 수집, 분류하여 강력한 유형 그물을 만들었기 때문에 쎈 한 권만으로도 충분한 문제 연습이 가능합니다.
2. 모든 문제를 A, B, C 3단계 난이도로 구성
쉬운 문제에서부터 어려운 문제까지 순서대로 도전하는 것이 합리적인 수학 학습법입니다. 쎈 수학은 모든 문제를 3단계로 나누어 수준별로 구성하고, 유형 뽀개기에서는 이를 다시 하, 중, 상의 난이도로 세분하여 체계적으로 수학 실력을 키울 수 있도록 만들었습니다.
3. 개념별로 입체적이고 세밀한 유형 제시
하나의 개념에서 파생되는 문제는 그 유형이 다양하게 나타납니다. 고교 과정에서 다뤄야 하는 모든 문제를 149개 유형으로 분류하고 1070문제로 정리하여 유형별로 충분한 연습이 가능하게 하였고 이를 통해 문제 해결력을 기를 수 있습니다.
Ⅰ. 지수함수와 로그함수
01 지수
02 로그
03 지수함수
04 로그함수
Ⅱ. 삼각함수
05 삼각함수
06 삼각함수의 그래프
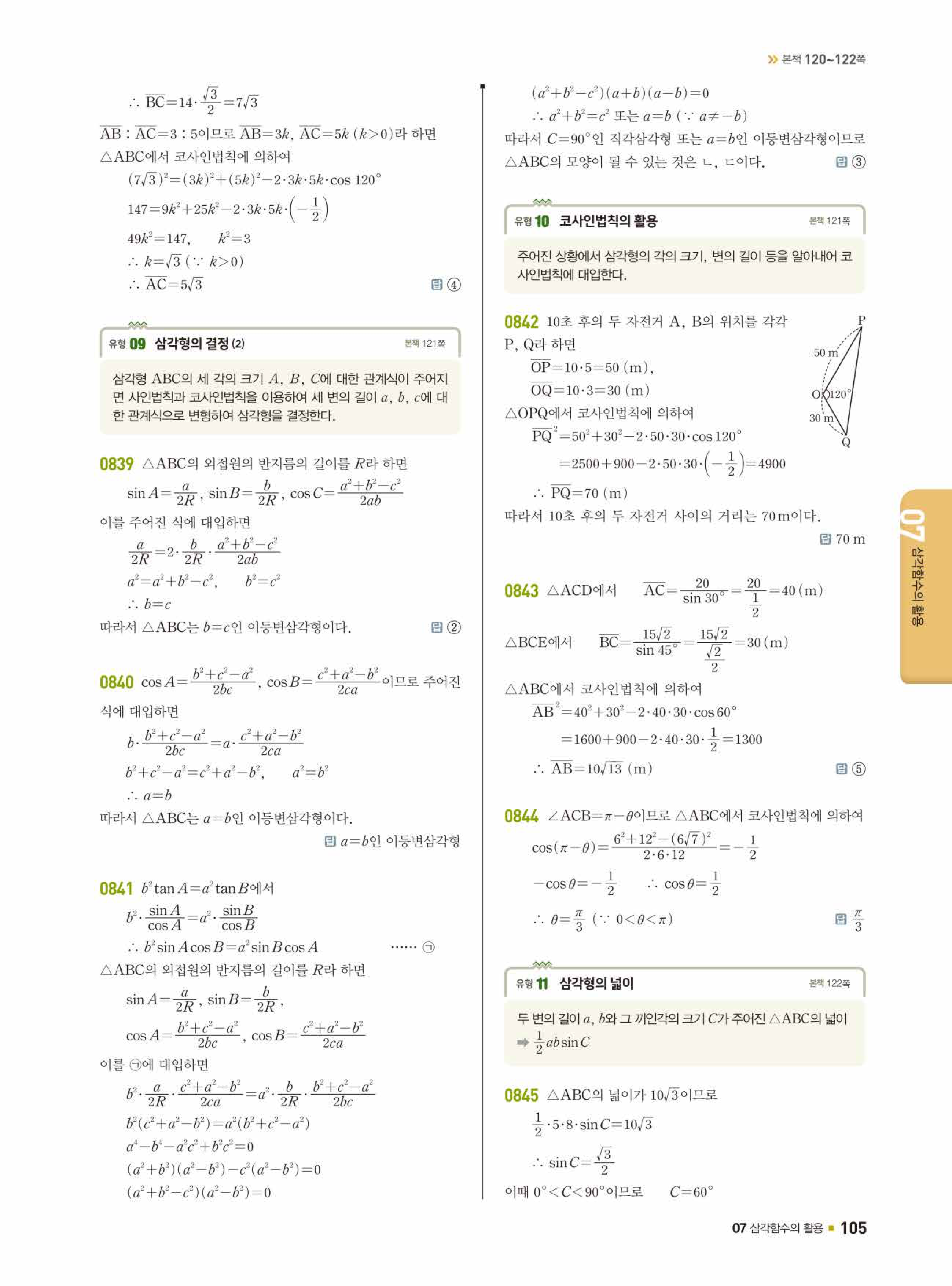
07 삼각함수의 활용
Ⅲ. 수열
08 등차수열과 등비수열
09 수열의 합
10 수학적 귀납법































































































































































