본문 바로가기
답지
블로그 내 검색
검색
관리
글쓰기
로그인
로그아웃
메뉴
홈
대입뉴스
카테고리 없음
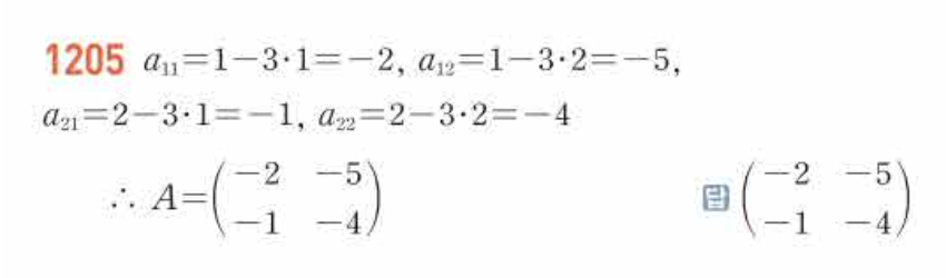
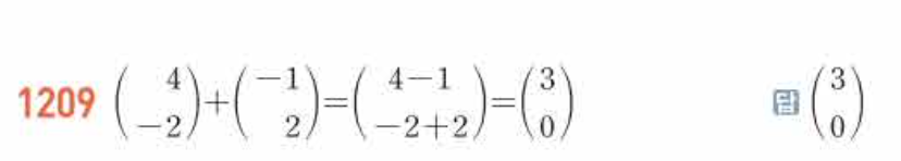
쎈공통수학1답지1201-1210
by 쎈답지
2023. 1. 29.
반응형
반응형
공유하기
게시글 관리
답지
티스토리툴바