답지
반응형
분류 전체보기
문제집 구매 여기서 해주세요
고등학교수학교과서
중학교수학교과서
2022수능특강
고등교재답지와해설
중등교재답지와해설
쎈답지
대입뉴스
문제집추천
마플시너지공통수학1
홈
대입뉴스
/
/
블로그 내 검색
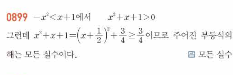
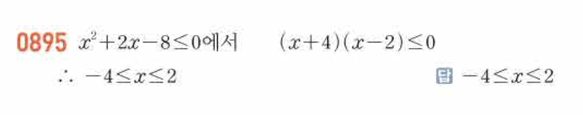
쎈공통수학1답지891-900
쎈답지
2023. 2. 3. 15:19
2023. 2. 3. 15:19
반응형
반응형
공유하기
게시글 관리
답지
+ Recent posts
Powered by
Tistory
, Designed by
wallel
Rss Feed
and
Twitter
,
Facebook
,
Youtube
,
Google+
티스토리툴바