📌 2025 최신개정 마플시너지 공통수학1 공수1 답지 해설 풀이 빠른답지 PDF 다운로드 가이드
안녕하세요! 수학 학습을 돕는 블로그입니다.
이번 포스팅에서는 2025 최신개정 마플시너지 공통수학1 공수1 문제집을 공부하는 학생들을 위해 답지 해설 풀이 빠른답지 PDF 다운로드 정보를 정리했습니다.
이 자료를 활용하여 빠르게 정답을 확인하고, 학습 시간을 더욱 효율적으로 활용하세요!
✅ 2025 최신개정 마플시너지 공통수학1 공수1 문제집 특징
마플시너지 공통수학1은 수학의 핵심 개념부터 실전 문제 풀이까지 체계적으로 학습할 수 있도록 구성된 교재로, 2025년 개정된 교육과정을 반영하여 더욱 최적화되었습니다.
📖 주요 특징
✔ 2025 개정 교육과정 반영 – 최신 개정 교육과정에 맞춰 단원 구성 및 문제 유형 업데이트
✔ 개념과 유형 정리 – 필수 개념과 문제 풀이 유형을 단계별로 학습 가능
✔ 빠른답지 제공 – 정답을 빠르게 확인하여 학습 효율성 극대화
✔ PDF 다운로드 지원 – 모바일 및 PC에서 편리하게 열람 가능
📚 마플시너지 공통수학1 주요 학습 단원
1️⃣ 다항식과 연산
2️⃣ 방정식과 부등식
3️⃣ 도형의 방정식과 활용
📥 마플시너지 공통수학1 답지 해설 풀이 빠른답지 PDF 다운로드
📌 마플시너지 공통수학1 빠른답지 PDF 다운로드
🔗 2025 최신개정 마플시너지 공통수학1 빠른답지 PDF 다운로드
📌 마플시너지 공통수학1 해설 PDF 다운로드
🔗 2025 최신개정 마플시너지 공통수학1 해설 PDF 다운로드
📌 마플시너지 공통수학1 해설 PDF 다운로드
🔗 2025 최신개정 마플시너지 공통수학1 해설 사진답지 바로보기
📌 마플시너지 공통수학1 정답 및 풀이 PDF 다운로드
🔗 2025 최신개정 마플시너지 공통수학1 빠른답지 사진답지 바로보기
❓ 자주 묻는 질문 (FAQ)
Q1. 마플시너지 공통수학1 2025 개정판의 주요 변경 사항은 무엇인가요?
📌 최신 교육과정을 반영하여 단원 구성과 문제 유형이 개선되었으며, 실전 대비 문제들이 더욱 강화되었습니다.
Q2. 빠른답지만 보고 학습해도 효과가 있을까요?
📌 빠른답지는 정답 확인 용도로만 활용하세요. 문제를 직접 풀고 정답을 확인하는 과정이 실력 향상에 가장 효과적입니다.
Q3. 심화 학습을 위한 추가 교재는 무엇이 있나요?
📌 기본 개념을 다진 후 수학 심화 문제집이나 실전 연습 문제집을 활용하여 학습하면 좋습니다.

포스팅 구성내용
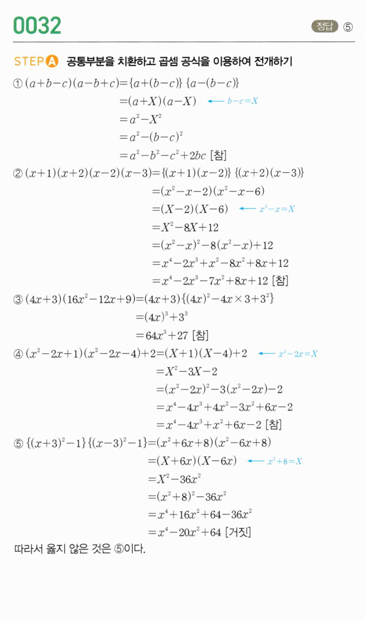
1. 빠른답지 - 다운로드가 필요없는 바로보는 사진파일 첨부
2. 유튜브 풀이영상 추천
3. 정답과 해설 - 다운로드가 필요없는 바로보는 사진파일 첨부
4. 다운로드 가능한 pdf(본문 제일 아래 첨부)




















































































































해설지풀버전링크 바로가기
https://local2onlineacademy.com/?p=13381
[전체 목차] 마플시너지 공통수학1 답지 모음 – 입시 진로 생기부관리
local2onlineacademy.com