반응형
기본정석 공통수학1 답지 – 효과적인 수학 학습을 위한 필수 자료
기본정석 공통수학1 교재는 고등학교 수학의 기초 개념을 다루며, 문제 해결 능력을 키우기 위한 필수 교재입니다. 하지만 어려운 문제를 풀 때 기본정석 공통수학1 답지는 중요한 역할을 합니다. 답지는 정확한 풀이 과정과 해설을 제공하여 학생들이 혼자서도 학습을 보완하고 개념을 명확히 이해할 수 있게 도와줍니다.
기본정석 공통수학1 답지의 주요 장점
- 상세한 풀이 과정 제공
답지는 모든 문제에 대해 단계별 풀이 과정을 제공하여, 학생들이 논리적으로 문제를 풀 수 있도록 돕습니다. 이를 통해 복잡한 수학적 개념을 쉽게 이해할 수 있습니다. - 오답 정리 및 복습
답지를 통해 틀린 문제를 확인하고, 문제 풀이 과정을 다시 학습할 수 있습니다. 오답 노트를 작성하여 반복 학습을 하면 실수를 줄이고 학습 성과를 극대화할 수 있습니다. - 자기주도 학습 강화
답지를 활용하여 학생들은 스스로 문제를 풀어보고 풀이 과정을 점검할 수 있어 자기주도 학습 능력을 키울 수 있습니다. 이를 통해 수학적 사고력과 문제 해결 능력을 향상시킬 수 있습니다.
답지 활용법
- 문제를 풀고 난 후 답지 확인
문제를 스스로 풀어본 후, 답지를 통해 풀이 과정을 점검하세요. 잘못된 부분을 수정하고 풀이 방법을 완전히 이해한 후 다시 한 번 문제를 풀어보는 것이 중요합니다. - 오답 노트 작성
자주 틀리는 문제는 오답 노트를 작성하여 반복적으로 복습하세요. 답지의 해설을 참고하여 자신이 부족한 개념을 보완하는 데 집중할 수 있습니다. - 핵심 개념 복습
답지를 통해 문제 풀이에 사용된 핵심 개념을 다시 복습하세요. 개념을 완전히 이해하면 비슷한 유형의 문제도 쉽게 해결할 수 있습니다.
결론
기본정석 공통수학1 답지는 학생들이 수학 문제를 풀어가는 데 필수적인 학습 도구입니다. 답지를 활용하여 자기주도 학습을 강화하고 문제 해결 능력을 기르면 수학 성적을 크게 향상시킬 수 있습니다. 지금 바로 기본정석 공통수학1 답지를 활용하여 수학 실력을 높여보세요!

목차
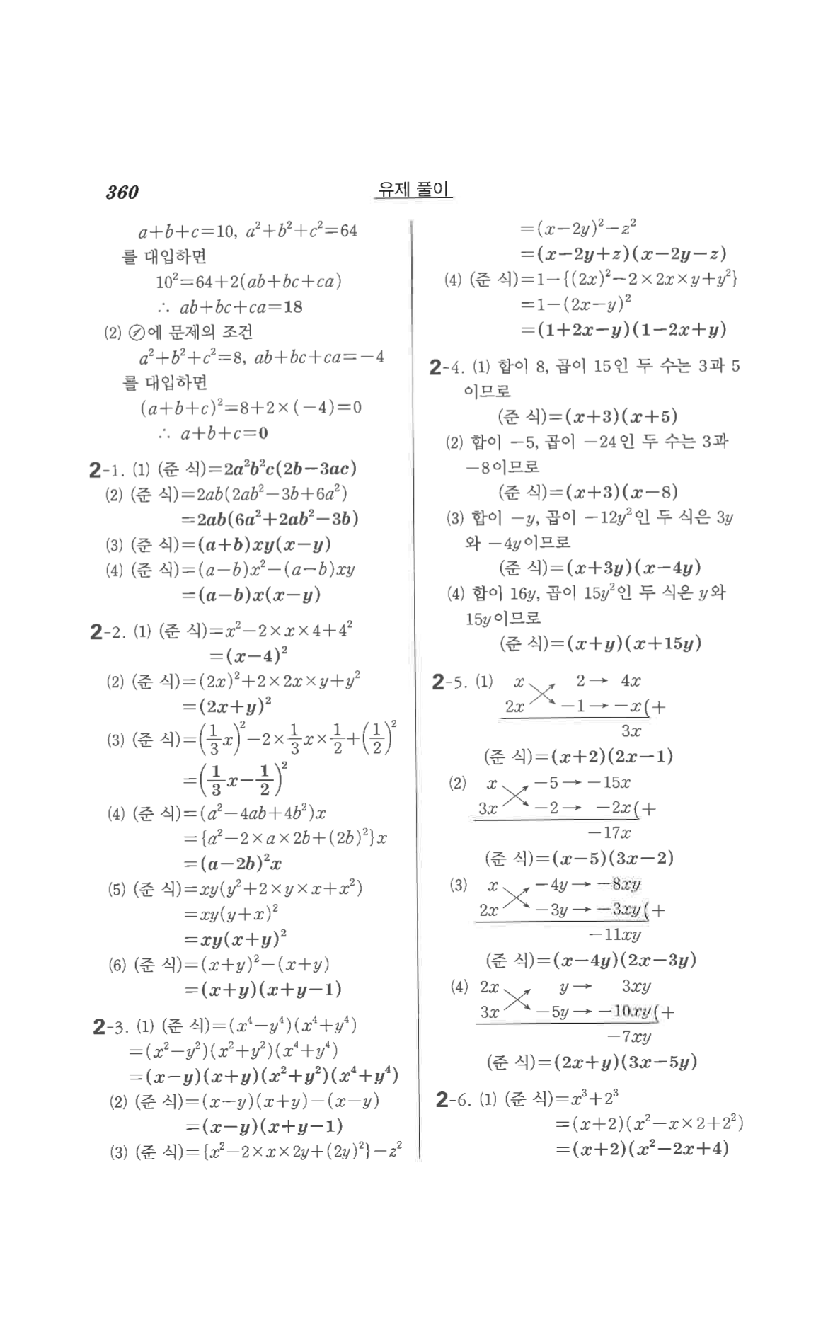
- 1. 다항식의 연산
2. 인수분해
3. 항등식과 미정계수법
4. 나머지 정리
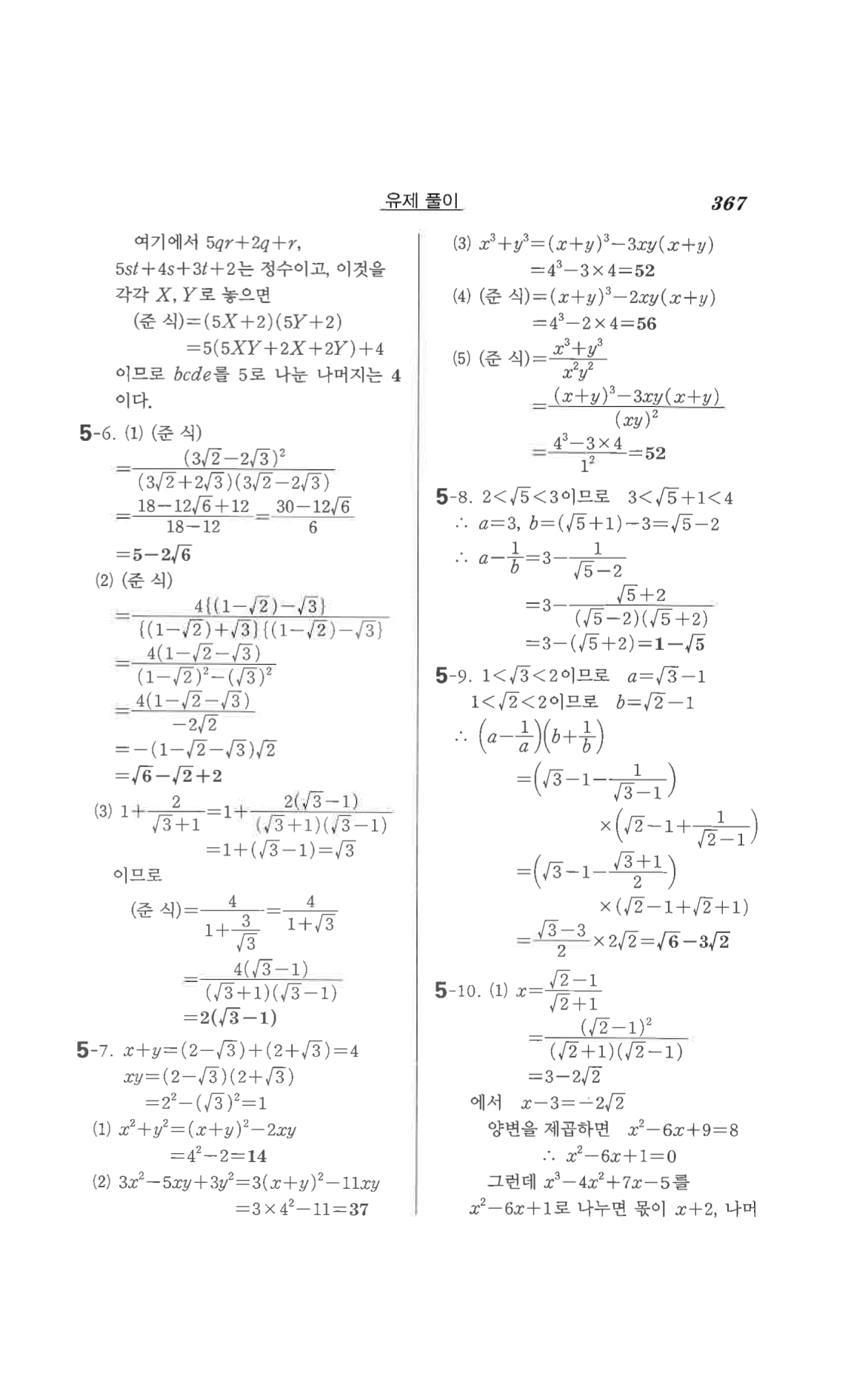
5. 실수
6. 복소수
7. 일차·이차방정식
8. 이차방정식의 판별식
9. 이차방정식의 근과 계수의 관계
10. 이차방정식과 이차함수
11. 최대와 최소
12. 삼차방정식과 사차방정식
13. 연립방정식
14. 일차부등식과 연립일차부등식
15. 이차부등식과 연립이차부등식
16. 경우의 수
17. 순열과 조합
18. 행렬의 뜻
19. 행렬의 연산
















































































































반응형