개념원리대수해설지풀버전링크
https://local2onlineacademy.com/?p=23351
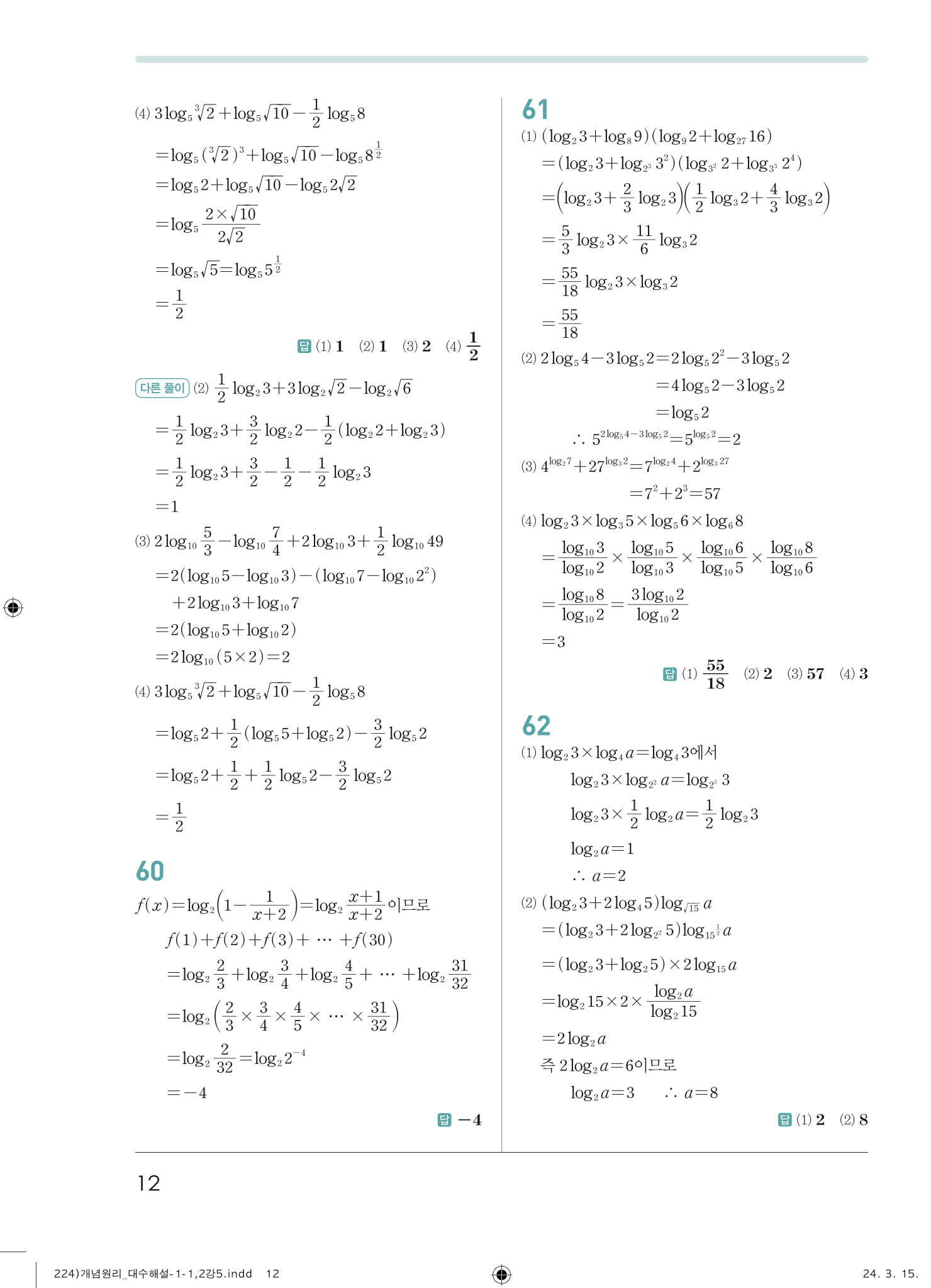
개념원리대수답지 2026최신판 다운없이 바로보는 사진답지 모바일최적화 – 답지
📚 개념원리 대수 답지 2022 개정 교육과정이 반영된 개념원리 대수(Algebra) 정답과 풀이입니다. 아래 이미지를 통해 채점 및 오답 정리에 활용하시기 바랍니다. * 저작권은 해당 출판사에 있으며,
local2onlineacademy.com
2025 개념원리 대수 답지 & 정답해설 PDF (2022 개정)
2025년 고1부터 적용되는 2022 개정 교육과정에 맞춘 개념원리 대수 답지 정보입니다.
기존 '수학(상)' 과정이 개편되면서 '공통수학1' 또는 '대수'라는 명칭으로 변경되었습니다. 찾으시는 교재의 답지를 아래에서 확인하세요.
개념원리 공식 자료실에서 안전하게 받으세요
답지 자료실 바로가기 📥
*회원가입 없이 PDF 뷰어로 바로 확인 가능합니다.
📌 교재 정보 확인
답지를 다운로드하기 전, 본인이 가진 교재가 맞는지 꼭 확인하세요. '대수'와 '수학(상)'은 목차가 다릅니다.
교재명적용년도주요특징파일형식
| 개념원리 공통수학1 (대수) |
| 2025년 고1 입학생부터 (2022 개정) |
| 행렬 단원 추가, 도형의 방정식 이동 등 |
| PDF (스마트폰/PC 열람 가능) |
❓ 파일이 열리지 않는다면?
다운로드한 개념원리 대수 답지 PDF 파일이 열리지 않을 경우, 어도비 리더(Adobe Reader)나 기타 PDF 뷰어 앱을 설치하신 후 다시 시도해 주세요.
필요한 자료가 더 있으신가요?
공감(❤️)과 댓글 남겨주시면 빠르게 답변드리겠습니다.
답지 파일의 저작권은 해당 출판사에 있습니다.
개념원리대수해설지풀버전링크
https://local2onlineacademy.com/?p=23351
개념원리대수답지 2026최신판 다운없이 바로보는 사진답지 모바일최적화 – 답지
📚 개념원리 대수 답지 2022 개정 교육과정이 반영된 개념원리 대수(Algebra) 정답과 풀이입니다. 아래 이미지를 통해 채점 및 오답 정리에 활용하시기 바랍니다. * 저작권은 해당 출판사에 있으며,
local2onlineacademy.com











개념원리대수해설지풀버전링크
https://local2onlineacademy.com/?p=23351
개념원리대수답지 2026최신판 다운없이 바로보는 사진답지 모바일최적화 – 답지
📚 개념원리 대수 답지 2022 개정 교육과정이 반영된 개념원리 대수(Algebra) 정답과 풀이입니다. 아래 이미지를 통해 채점 및 오답 정리에 활용하시기 바랍니다. * 저작권은 해당 출판사에 있으며,
local2onlineacademy.com
















개념원리대수답지풀버젼링크
https://local2onlineacademy.com/?p=23351
개념원리대수답지 2026최신판 다운없이 바로보는 사진답지 모바일최적화 – 답지
📚 개념원리 대수 답지 2022 개정 교육과정이 반영된 개념원리 대수(Algebra) 정답과 풀이입니다. 아래 이미지를 통해 채점 및 오답 정리에 활용하시기 바랍니다. * 저작권은 해당 출판사에 있으며,
local2onlineacademy.com
고등학교대수문제집랭킹
https://local2onlineacademy.com/?page_id=22854
고2답지모음 – 답지
local2onlineacademy.com