2025최신판 풍산자 개념완성 중1-1 답지 제공 PDF 다운로드 및 정답 해설 포함
2025최신판 풍산자 개념완성 중1-1 답지 제공! PDF 다운로드 및 정답 해설 포함. 최신 업데이트로 신뢰할 수 있는 자료를 확인하세요.
📖 2025최신판 풍산자 개념완성 중1-1 답지 해설 및 빠른답지 다운로드
2025최신판 풍산자 개념완성 중1-1을 효과적으로 학습하고, 수학 실력 향상을 목표로 하는 학생들을 위해 2025최신판 풍산자 개념완성 중1-1의 답지와 해설을 제공합니다.
아래 링크를 통해 빠른답지와 사진답지를 확인하실 수 있습니다.
🔗 2025최신판 풍산자 개념완성 중1-1 빠른답지 PDF 다운로드
👉 https://mathuncle.tistory.com/3220
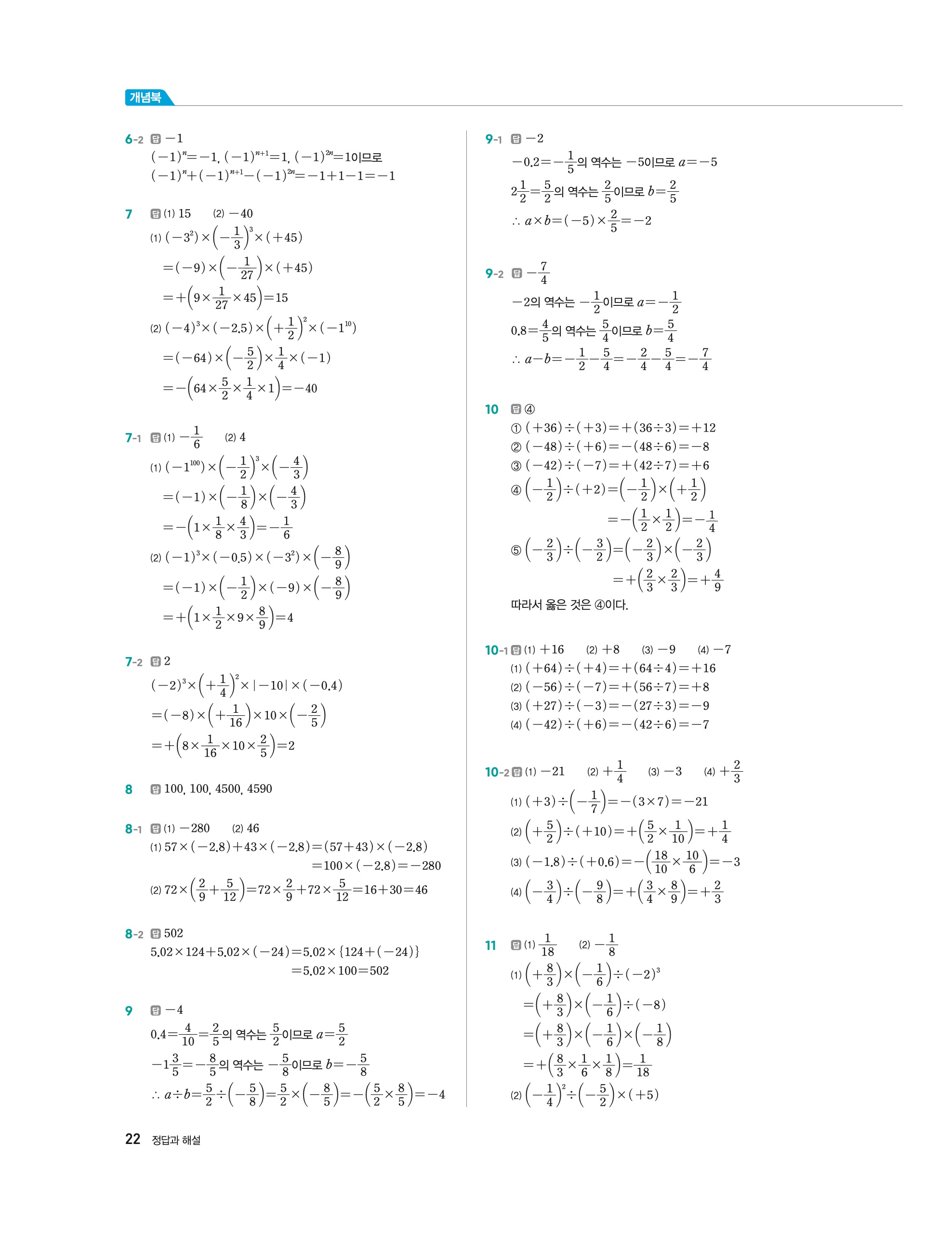
📷 2025최신판 풍산자 개념완성 중1-1 바로보는 사진답지
👉 https://mathuncle.tistory.com/3221
📌 2025최신판 풍산자 개념완성 중1-1 교재 특징
✅ 핵심 개념 완벽 정리 – 중학교 1학년 1학기 필수 개념을 쉽고 빠르게 익힐 수 있도록 정리되어 있습니다.
✅ 유형별 문제 정리 – 대표 유형을 선별하여 효과적인 문제 풀이 연습이 가능합니다.
✅ 자세한 해설 제공 – 각 문제에 대한 상세한 해설과 풀이 과정을 제공하여 학습 효과를 극대화합니다.
📢 빠른답지 활용법
📌 문제 풀이 후 정답 확인 – 문제를 스스로 풀어본 후, 빠른답지를 활용하여 정답을 확인하세요.
📌 오답 분석 및 복습 – 틀린 문제는 해설을 참고하여 이해하고, 오답 노트를 작성하여 반복 학습하세요.
📌 시간 관리 연습 – 실전과 동일한 환경에서 문제를 풀어보며 시간 관리 능력을 향상시키세요.
📌 다른 교재와 병행 학습 – 다양한 수학 교재와 함께 활용하여 학습 효과를 극대화하세요.
🔍 관련 글 추천
아래는 수학 실력 향상과 문제 풀이에 도움이 되는 다른 교재의 답지와 해설을 제공하는 포스팅입니다.
각 링크를 클릭하여 필요한 자료를 확인하세요.
📘 2025최신판 풍산자 개념완성 중1-2 답지 및 해설
👉 https://mathuncle.tistory.com/3201
📘 2025최신판 풍산자 개념완성 중2-1 답지 및 해설
👉 https://mathuncle.tistory.com/3210
📘 2025 개념원리 중1-1 답지 및 해설
👉 https://mathuncle.tistory.com/3230
📘 2025 수학의 정석 기본편 중1-1 답지 및 해설
👉 https://mathuncle.tistory.com/3240
📘 2025 쎈 중1-1 답지 및 해설
👉 https://mathuncle.tistory.com/3250
📝 마무리
2025최신판 풍산자 개념완성 중1-1의 답지와 해설을 통해 효과적으로 학습하고, 수학 실력을 향상시켜 좋은 성과를 거두시기 바랍니다.
추가로 궁금한 점이나 도움이 필요한 부분이 있다면 댓글로 남겨주세요.
📌 더 많은 학습 자료를 확인하려면?
👉 전체 글 목록 보기 https://mathuncle.tistory.com/























































































