티스토리 블로그에 바로 복사하여 사용하실 수 있도록 **SEO(검색 엔진 최적화)**가 적용된 포스팅 형식을 만들어 드립니다.
이 내용은 2022 개정 교육과정이 반영된 '비상 교육 고등 대수' 교과서를 기준으로 작성되었습니다.
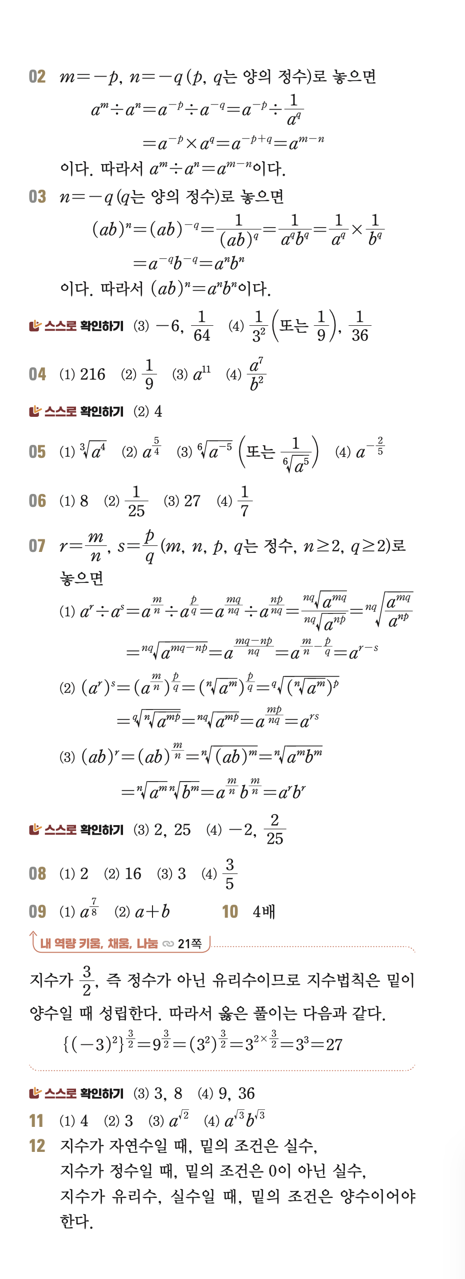
📝 티스토리 블로그 포스팅 양식
제목: 2025 비상수학교과서 고등대수 답지 PDF 다운로드 및 정답 해설 정리
안녕하세요! 오늘은 고등학생 여러분의 수학 학습을 돕기 위해 비상교육 고등 대수 교과서의 답지와 해설 정보를 정리해 드립니다.
2022 개정 교육과정이 적용되면서 '수학 I'이 '대수'로 명칭이 바뀌고 내용에도 변화가 있었는데요. 혼자 공부하다가 막히는 부분이 있을 때, 정답과 해설지를 잘 활용하면 학습 효율을 크게 높일 수 있습니다.
📘 비상 고등 대수 교과서 특징
비상교육의 대수 교과서는 개념 원리가 상세하게 설명되어 있어 자학자습용으로도 인기가 높습니다.
- 핵심 개념 정리: 복잡한 수식을 한눈에 이해할 수 있도록 구성
- 단계별 문제 구성: 기초 예제부터 심화 문제까지 체계적인 학습 가능
- 실생활 연계: 수학적 원리가 실생활에 어떻게 쓰이는지 탐구
📊 고등 대수 단원별 목차
공부하시기 전, 내가 지금 어느 부분을 배우고 있는지 목차를 통해 확인해 보세요.
| 대단원 | 소단원 핵심 내용 |
| I. 지수함수와 로그함수 | 지수와 로그의 성질, 지수함수, 로그함수의 그래프와 방정식 |
| II. 삼각함수 | 일반각과 호도법, 삼각함수의 그래프, 사인법칙과 코사인법칙 |
| III. 수열 | 등차수열, 등비수열, 수열의 합, 수학적 귀납법 |
❓ 자주 묻는 질문 (FAQ)
A1. PDF 뷰어가 설치되어 있는지 확인해 주세요. 크롬이나 에지 브라우저에서는 별도의 설치 없이 바로 열람이 가능합니다.
Q2. 개정 전 교과서(수학I)와 내용이 많이 다른가요?
A2. 큰 틀은 비슷하지만, 2022 개정 교육과정에 따라 일부 개념의 순서나 용어가 조정되었습니다. 반드시 '대수'라고 표기된 최신판을 확인하세요.
마무리하며
비상 고등 대수 교과서로 공부하는 모든 학생분들이 좋은 성적을 거두시길 응원합니다. 공부하다 어려운 점이 있다면 언제든 댓글로 남겨주세요!


















고등학교수학교과서 비상 대수답지 해설지 풀버전링크
https://local2onlineacademy.com/?p=37576
비상교육 수학교과서 고등대수답지 해설지 – 답지
local2onlineacademy.com