[상단 이동 링크 박스]
📢 2026 최신개정 개념원리 미적분2 답지 해설 풀이 빠른답지 PDF 다운로드 ✅ 2026 최신개정 개념원리 미적분2 답지 PDF 다운로드 📌 정확하고 빠른 정답 확인!
📌 2026 최신개정 개념원리 미적분2 답지 해설 풀이 빠른답지 PDF 다운로드 가이드
안녕하세요! 수학 학습을 돕는 블로그입니다. 이번 포스팅에서는 2026 최신개정 개념원리 미적분2 문제집을 공부하는 학생들을 위해 답지 해설 풀이 빠른답지 PDF 다운로드 정보를 정리했습니다. 이 자료를 활용하여 빠르게 정답을 확인하고, 학습 시간을 더욱 효율적으로 활용하세요!
✅ 2026 최신개정 개념원리 미적분2 문제집 특징
개념원리 미적분2는 고등 수학의 핵심인 미적분 개념을 체계적으로 학습할 수 있도록 구성된 교재로, 2026년 개정 교육과정을 반영하여 더욱 최적화되었습니다.
📖 주요 특징
- ✔ 2026 개정 교육과정 반영 – 최신 교육과정에 맞춘 단원 구성 및 문제 유형 업데이트
- ✔ 유형별 문제 구성 – 개념 정리부터 실전 문제까지 단계별 학습 가능
- ✔ 빠른답지 제공 – 정답을 빠르게 확인하여 학습 효율성 극대화
- ✔ PDF 다운로드 지원 – 모바일 및 PC에서 편리하게 열람 가능
📚 2026 개념원리 미적분2 주요 학습 단원
1️⃣ 지수함수와 로그함수 2️⃣ 삼각함수 3️⃣ 수열 4️⃣ 미분법 및 적분법 기초
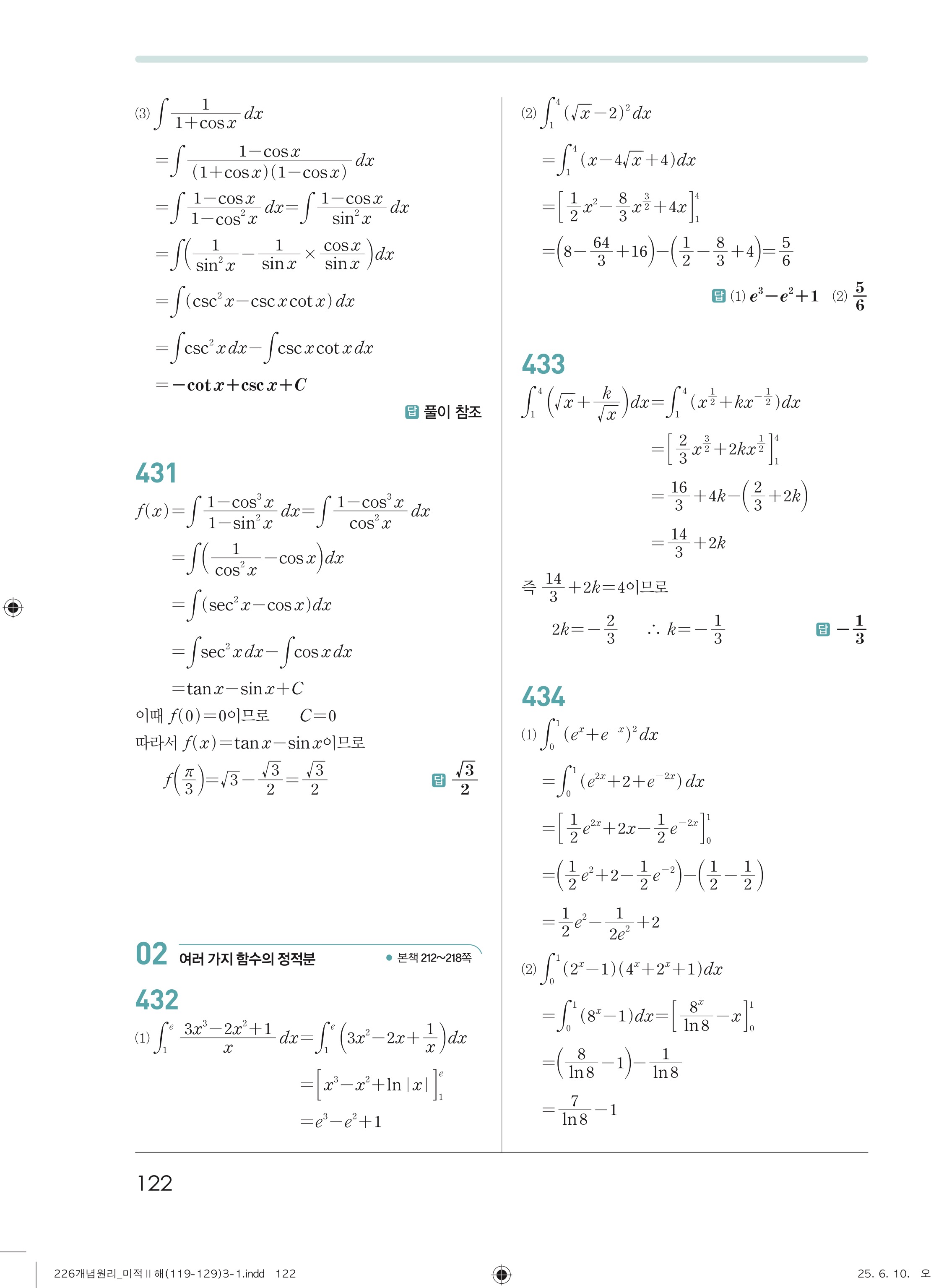
[중간 광고 및 이미지 삽입 영역] (여기에 직접 준비하신 미적분2 답지 캡처 이미지를 순서대로 업로드하세요)
📝 빠른답지 활용법 및 효과적인 학습 전략
✅ 빠른답지 활용법
- 📌 문제를 먼저 풀어보기 – 빠른답지를 보기 전에 문제를 직접 해결하세요.
- 📌 정답 확인 및 오답 분석 – 빠른답지를 활용하여 정답을 체크하고, 오답을 분석하세요.
- 📌 오답 노트 작성 및 반복 학습 – 틀린 문제는 오답 노트에 정리하여 반복 학습하세요.
🎯 효과적인 학습 전략
- ✔ 하루 한 단원 학습 – 매일 일정량의 목표를 설정하고 꾸준히 공부하세요.
- ✔ 기초 개념 복습 – 개념을 정확히 이해한 후 문제를 풀어보세요.
- ✔ 실전 응용 문제 풀이 – 빠른답지를 활용해 정답을 체크하고 다양한 유형의 문제를 풀어보세요.
❓ 자주 묻는 질문 (FAQ)
Q1. 개념원리 미적분2 2026 개정판의 주요 변경 사항은 무엇인가요? 📌 최신 교육과정을 반영하여 단원 구성과 문제 유형이 개선되었으며, 수능 대비 실전 문제들이 더욱 강화되었습니다.
Q2. 빠른답지만 보고 학습해도 효과가 있을까요? 📌 빠른답지는 정답 확인 용도로만 활용하세요. 문제를 직접 풀고 정답을 확인하는 과정이 실력 향상에 가장 효과적입니다.
Q3. 심화 학습을 위한 추가 교재는 무엇이 있나요? 📌 기본 개념을 다진 후 수학 심화 문제집이나 기출 문제집을 활용하여 학습하면 좋습니다.
🎯 마무리
2026 최신개정 개념원리 미적분2 빠른답지 PDF는 빠르게 정답을 확인하고, 학습 시간을 효율적으로 관리할 수 있는 필수 자료입니다.
📌 정확하고 빠른 정답 확인은 여기에서!
PDF 다운로드를 통해 내신과 수능을 철저히 대비하세요! 궁금한 점이 있다면 댓글로 문의해주세요. 😊







































































































































































