반응형

여러분의 하트 하나에 큰 힘이 납니다
진심으로 감사드립니다
'로그인없이' 누르실 수 있어요
검색할때 ‘책이름 + 사진답지’로 검색하시면 한번에 찾으실수있어요^^
좋아요 , 블로그구독 , 댓글은
곳곳에 숨어있는 모든답지를 모으는 저에게 큰 힘이 됩니다 감사합니다
친구들을 위해 답지 '페펌'은 필수 입니다 !!
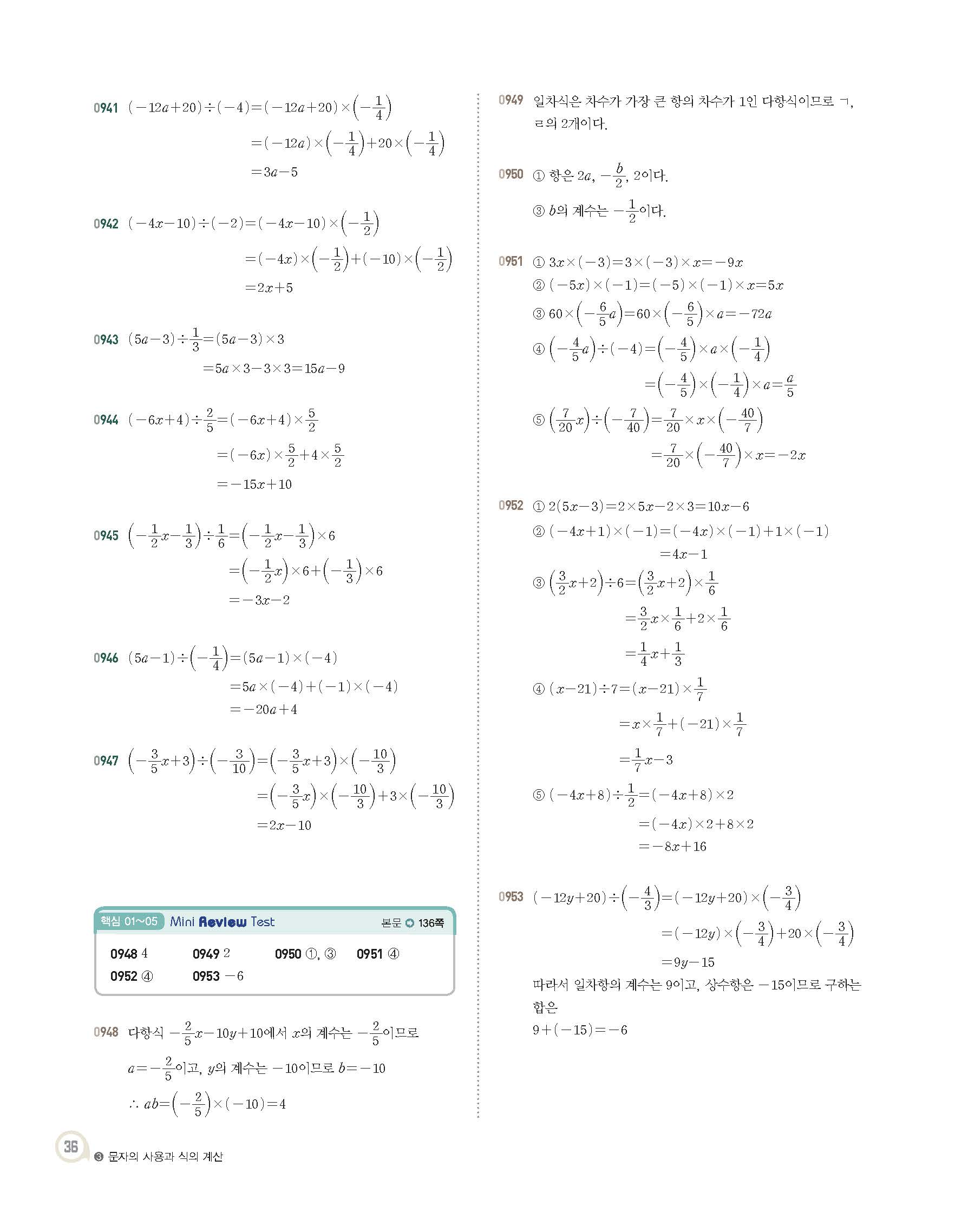
숨마쿰라우데 스타트업 중1상 1-1 사진답지 빠른답지 모바일최적화
다운로드 받을필요 없이 바로 볼수 있는 모바일에 최적화된 답지 입니다
필요한 답지가 있다면 댓글로 신청해주세요
최대한 빨리 찾아서 올려드리겠습니다
숨마쿰라우데 스타트업 중1상 1-1 사진답지 빠른답지 모바일최적화
































































반응형