반응형
좋아요 , 블로그구독 , 댓글은
곳곳에 숨어있는 모든답지를 모으는 저에게 큰 힘이 됩니다 감사합니다
친구들을 위해 답지 '페펌'은 필수 입니다 !!
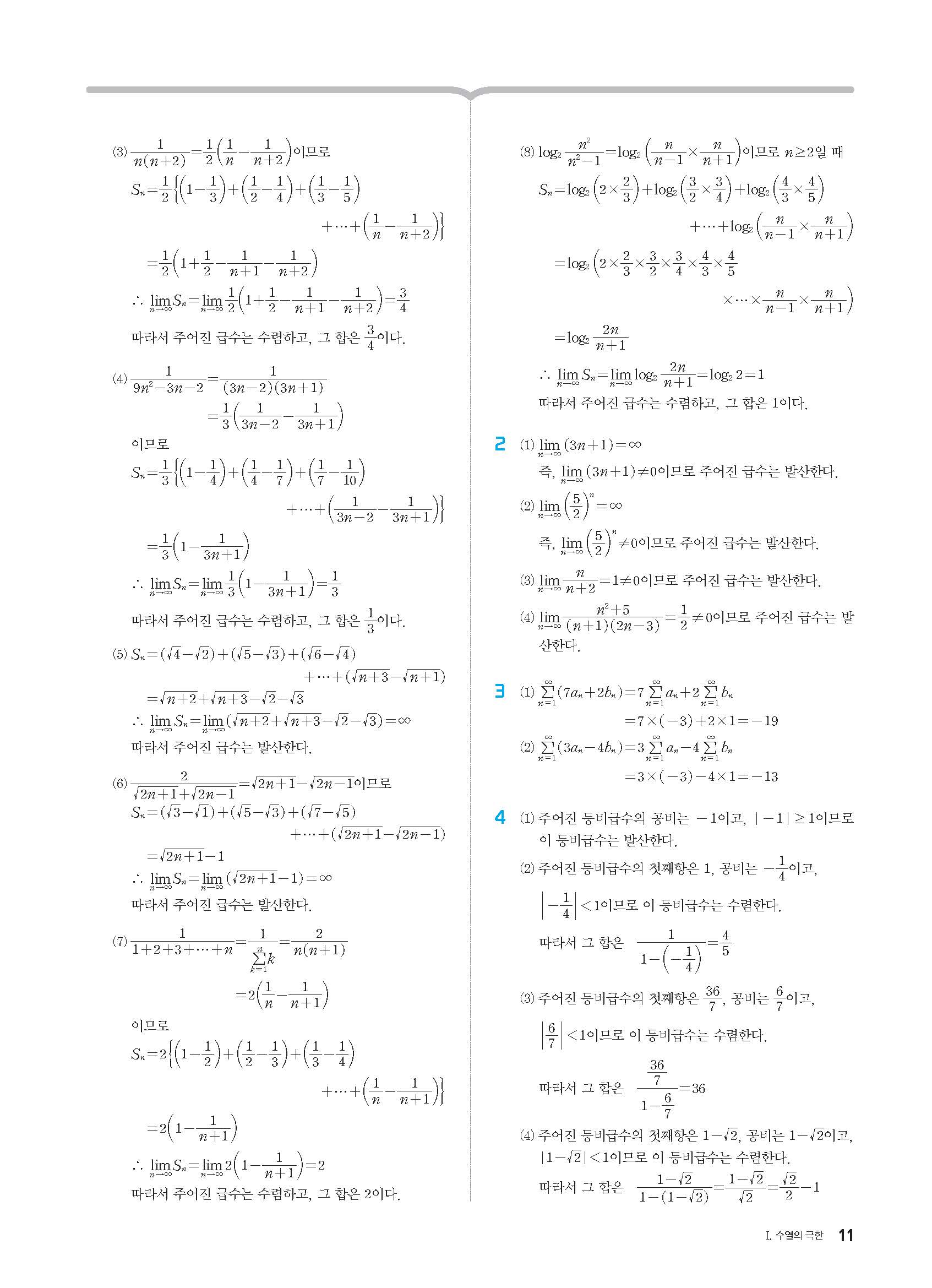
내공의힘 미적분 사진답지 빠른답지 모바일최적화
다운로드 받을필요 없이 바로 볼수 있는 모바일에 최적화된 답지 입니다
필요한 답지가 있다면 댓글로 신청해주세요
최대한 빨리 찾아서 올려드리겠습니다
내공의힘 미적분 사진답지 빠른답지 모바일최적화
















































































반응형
곳곳에 숨어있는 모든답지를 모으는 저에게 큰 힘이 됩니다 감사합니다
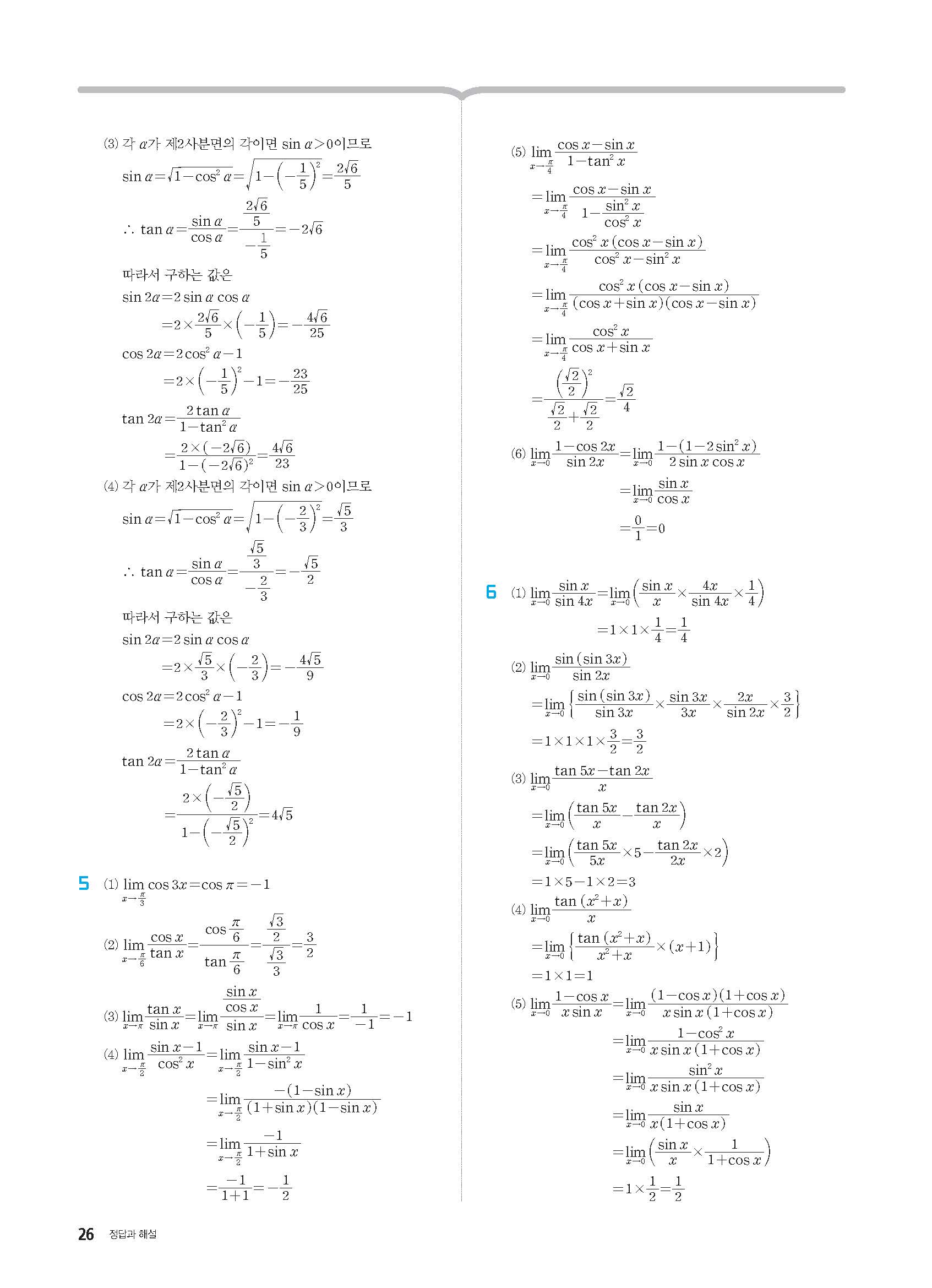
내공의힘 미적분 사진답지 빠른답지 모바일최적화
다운로드 받을필요 없이 바로 볼수 있는 모바일에 최적화된 답지 입니다
필요한 답지가 있다면 댓글로 신청해주세요
최대한 빨리 찾아서 올려드리겠습니다
내공의힘 미적분 사진답지 빠른답지 모바일최적화















































































