반응형
책이름 + 사진답지 검색하시면 더욱 쉽게 찾으실 수 있어요
책이름 + 사진답지 검색하시면 더욱 쉽게 찾으실 수 있어요


글 제일아래 왼쪽구석에있는 여러분의 하트 하나에 큰 힘이 납니다
진심으로 감사드립니다
'로그인없이' 누르실 수 있어요
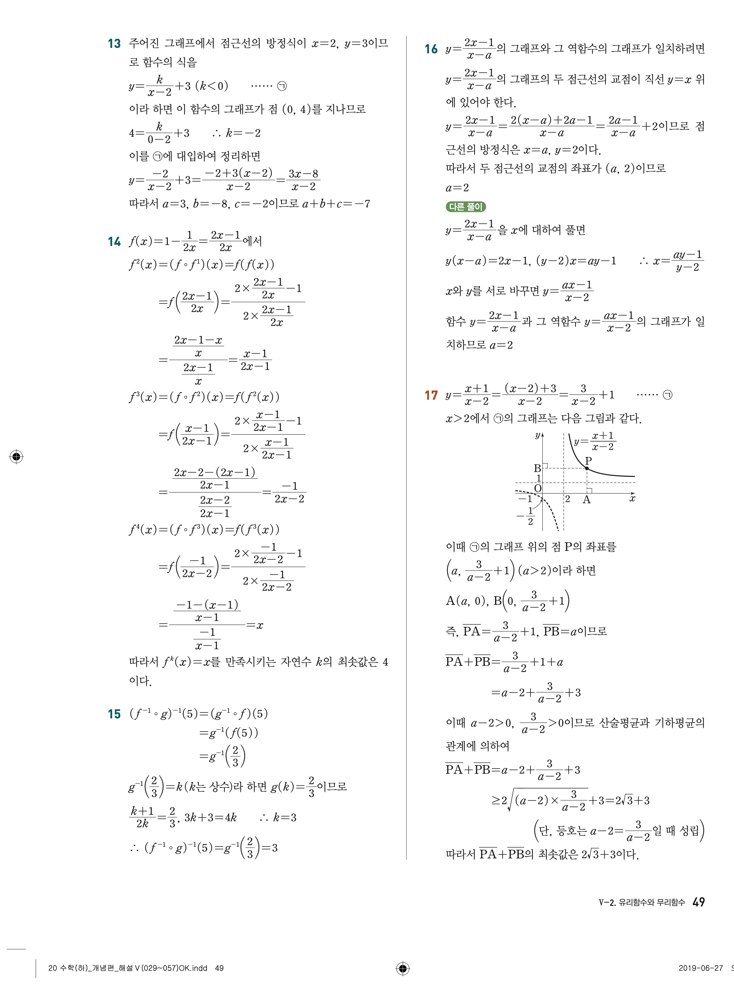
개념플러스유형 고등수학하 답지 해설 바로보는 사진답지 빠른답지 모바일최적화
다운로드 받을필요 없이 바로 볼수 있는 모바일에 최적화된 답지 입니다
필요한 답지가 있다면 댓글로 신청해주세요
최대한 빨리 찾아서 올려드리겠습니다
개념플러스유형 고등수학하 답지 해설 바로보는 사진답지 빠른답지 모바일최적화
| 마플시너지 고등수학상 | https://mathuncle.tistory.com/212 |
| 마플시너지 고등수학하 | https://mathuncle.tistory.com/213 |
| 마플교과서 고등수학상 | https://mathuncle.tistory.com/65 |
| 마플교과서 고등수학하 | https://mathuncle.tistory.com/66 |
| 수력충전 고등수학상 | https://mathuncle.tistory.com/1188 |
| 수력충전 고등수학하 | https://mathuncle.tistory.com/1189 |
| 개념원리 고등수학상 | https://mathuncle.tistory.com/125 |
| 개념원리 고등수학하 | https://mathuncle.tistory.com/126 |
| 알피엠 고등수학상 | https://mathuncle.tistory.com/132 |
| 알피엠 고등수학하 | https://mathuncle.tistory.com/133 |
| 쎈 고등수학상 | https://mathuncle.tistory.com/210 |
| 쎈 고등수학하 | https://mathuncle.tistory.com/211 |
| 라이트쎈 고등수학상 | https://mathuncle.tistory.com/384 |
| 라이트쎈 고등수학하 | https://mathuncle.tistory.com/1110 |
| 베이직쎈 고등수학상 | https://mathuncle.tistory.com/382 |
| 베이직쎈 고등수학하 | https://mathuncle.tistory.com/383 |
| 개념쎈 고등수학상 | https://mathuncle.tistory.com/672 |
| 개념쎈 고등수학하 | https://mathuncle.tistory.com/1117 |
| 개념쎈라이트 고등수학상 | https://mathuncle.tistory.com/1111 |
| 개념쎈라이트 고등수학하 | https://mathuncle.tistory.com/1112 |
| 일품 고등수학상 | https://mathuncle.tistory.com/1127 |
| 일품 고등수학하 | https://mathuncle.tistory.com/1617 |
| 개념플러스유형 고등수학상 | https://mathuncle.tistory.com/274 |
| 개념플러스유형 고등수학하 | https://mathuncle.tistory.com/1616 |
| 풍산자 반복수학 고등수학상 | https://mathuncle.tistory.com/394 |
| 풍산자 반복수학 고등수학하 | https://mathuncle.tistory.com/395 |
| 고쟁이 고등수학상 | https://mathuncle.tistory.com/550 |
| 고쟁이 고등수학하 | https://mathuncle.tistory.com/1448 |
| 블랙라벨 고등수학상 | https://mathuncle.tistory.com/224 |
| 블랙라벨 고등수학하 | https://mathuncle.tistory.com/225 |
| 풍산자 반복수학 고등수학상 | https://mathuncle.tistory.com/394 |
| 풍산자 반복수학 고등수학하 | https://mathuncle.tistory.com/395 |
| 만렙AM 고등수학상 | https://mathuncle.tistory.com/1218 |
| 만렙AM 고등수학하 | https://mathuncle.tistory.com/629 |
| 만렙PM 고등수학상 | https://mathuncle.tistory.com/630 |
| 만렙PM 고등수학하 | https://mathuncle.tistory.com/631 |
















































































































반응형