반응형
📥 쎈수학 공통수학1 쎈 공수1 답지 해설 풀이 빠른답지 PDF 다운로드
📌 쎈수학 공통수학1 빠른답지 PDF 다운로드
🔗 2025 최신개정 쎈수학 공통수학1 빠른답지 PDF 다운로드
📌 쎈수학 공통수학1 해설 PDF 다운로드
🔗 2025 최신개정 쎈수학 공통수학1 답지해설 PDF 다운로드
📌 쎈수학 공통수학1 정답 및 풀이 PDF 다운로드
🔗 2025 최신개정 쎈수학 공통수학1 답지해설 사진답지 바로보기
📌 쎈수학 공통수학1 정답 및 풀이 PDF 다운로드
🔗 2025 최신개정 쎈수학 공통수학1 빠른답지 사진답지 바로보기
쎈 공통수학1 해설.pdf
11.55MB
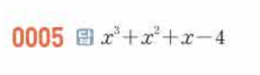
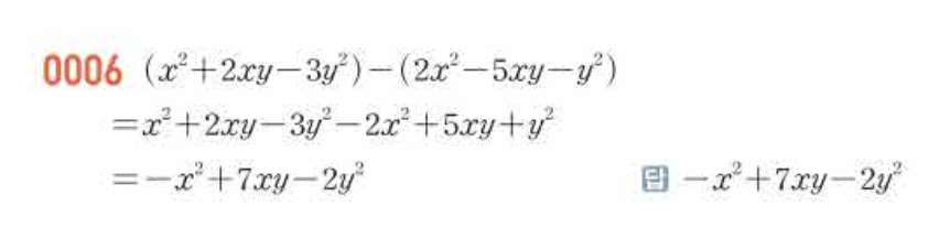
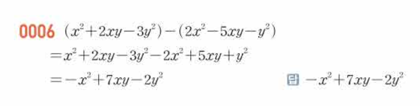
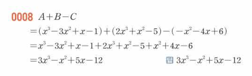
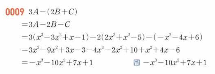
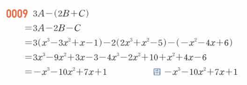
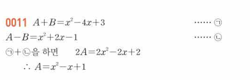
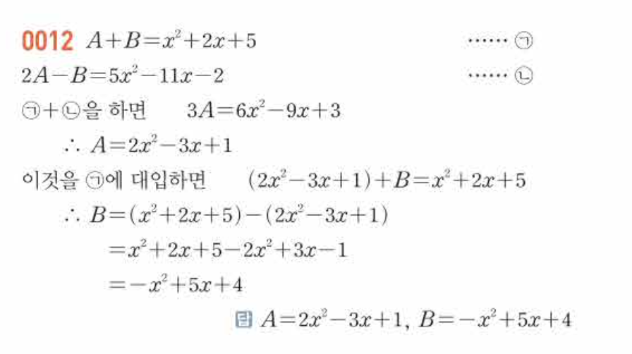
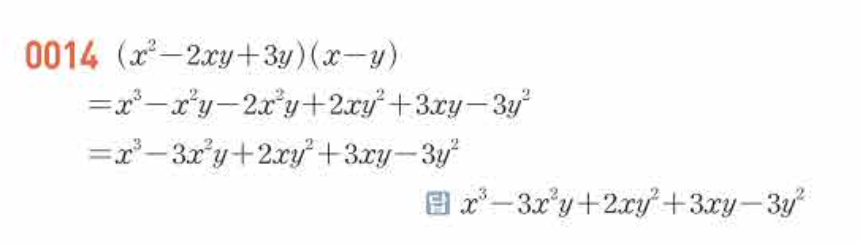
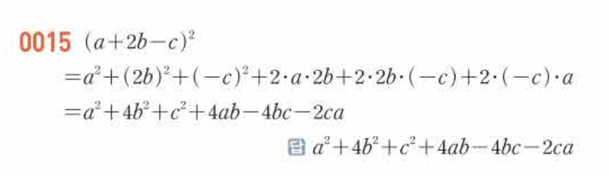
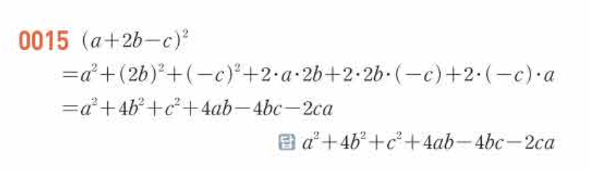
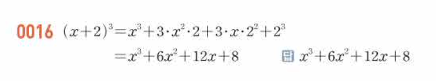
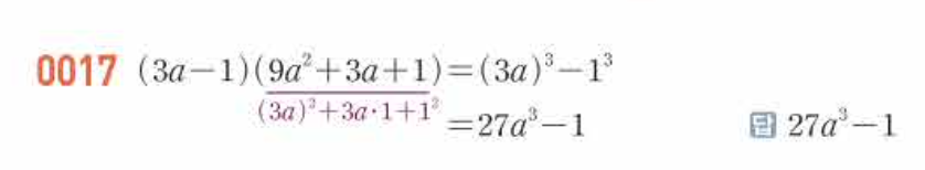
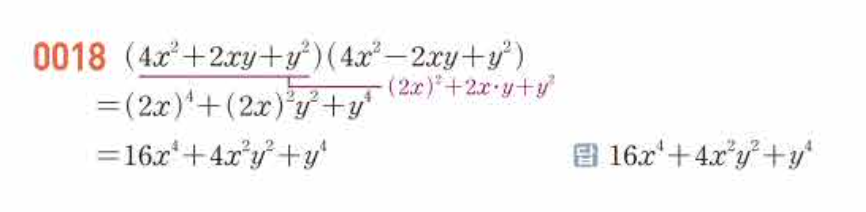
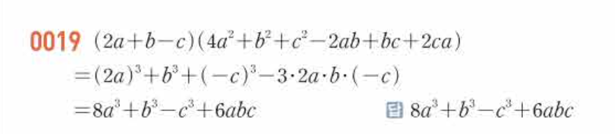
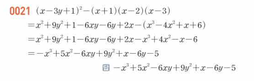
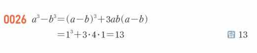
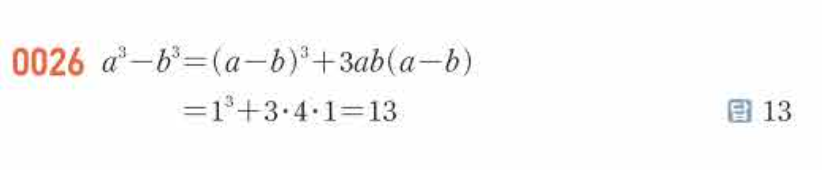
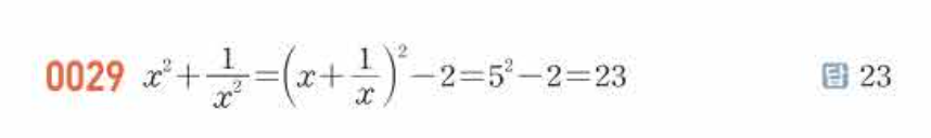
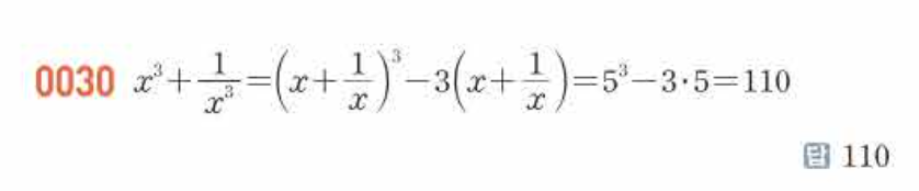
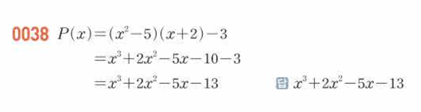
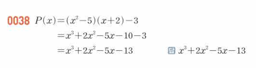
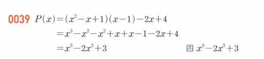
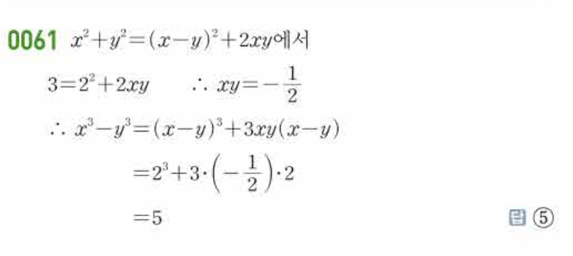
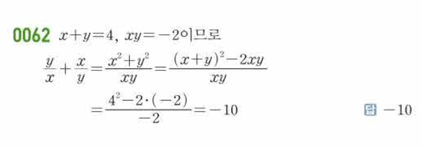
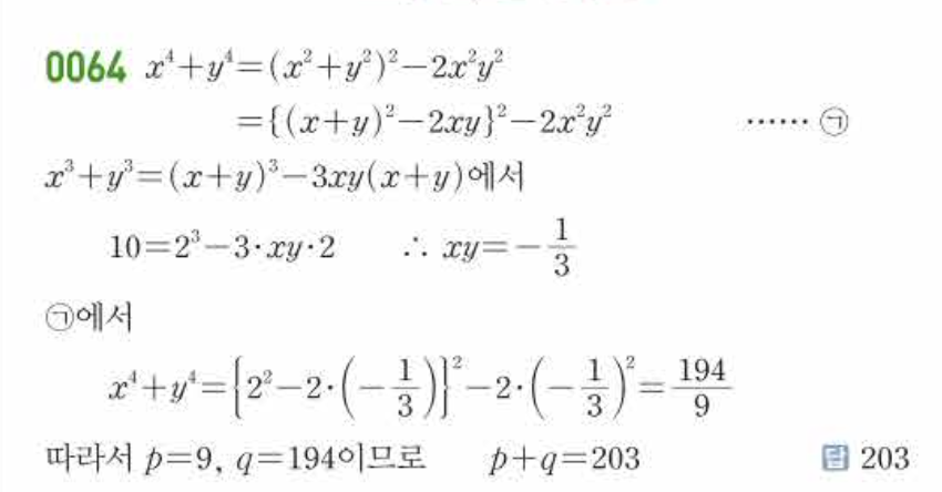
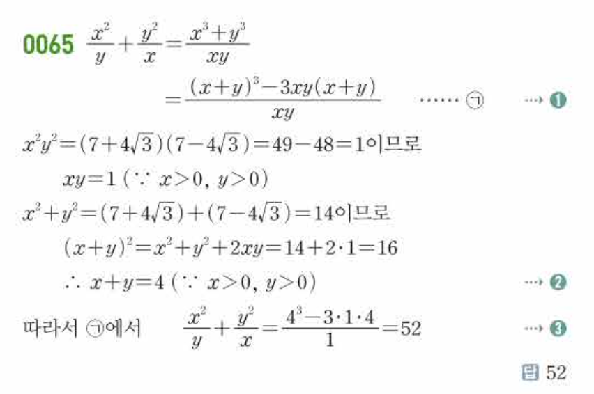
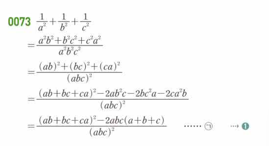
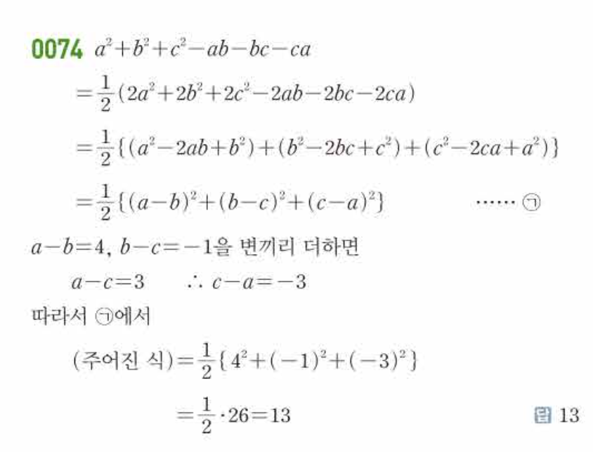
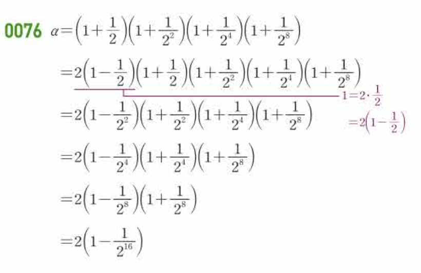
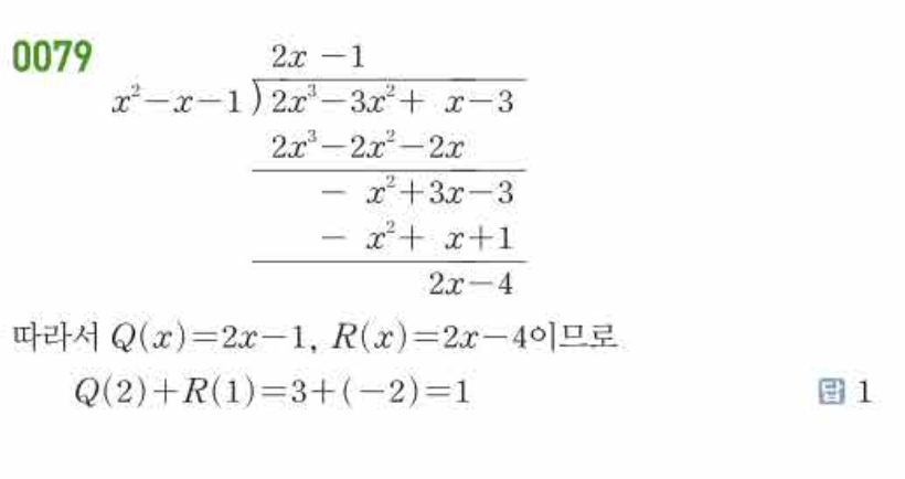
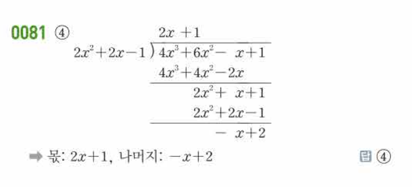
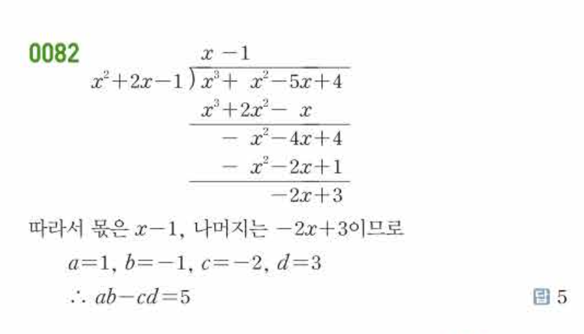
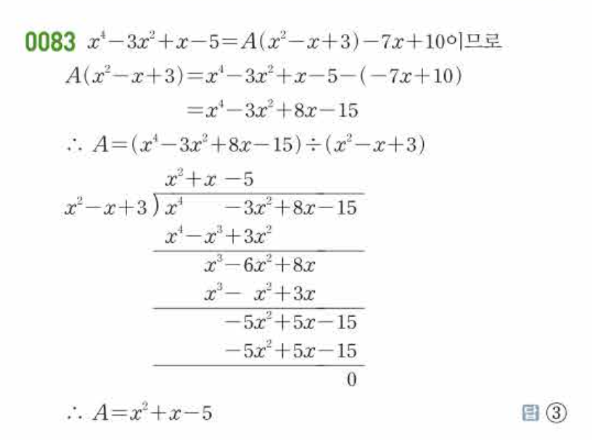
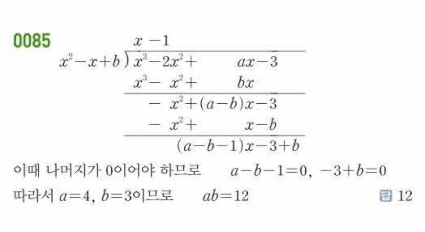
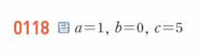
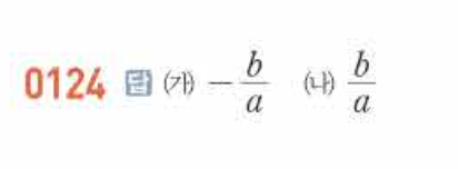
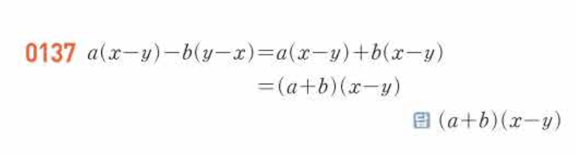
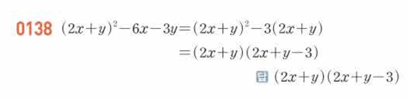
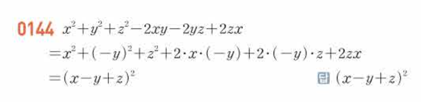
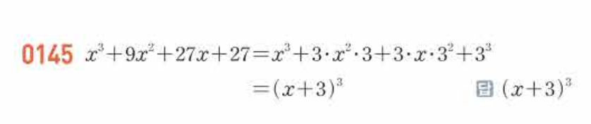
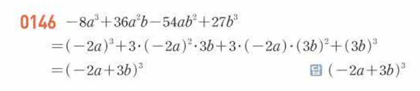
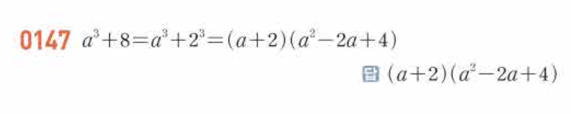
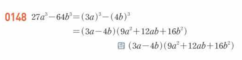
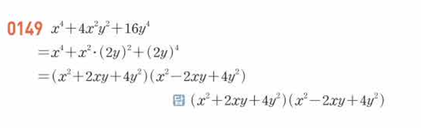
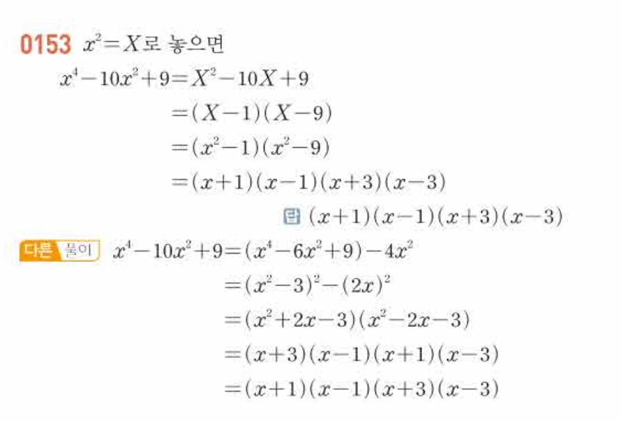
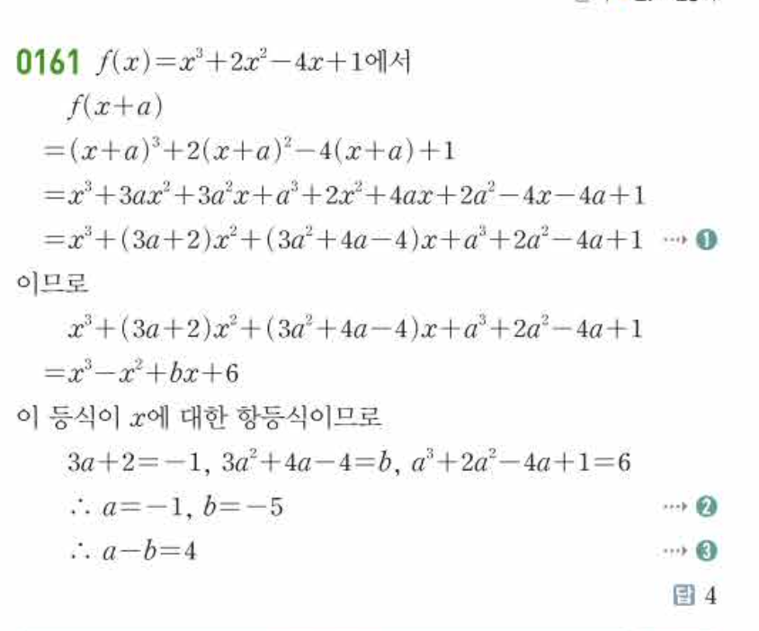
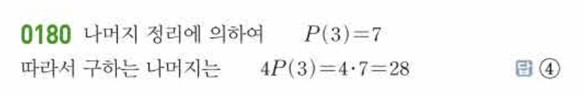
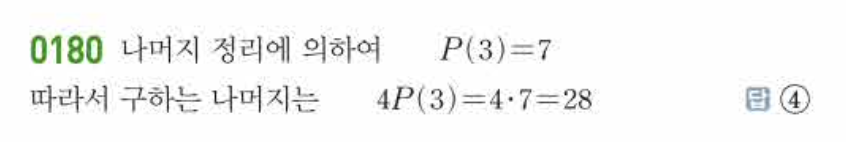
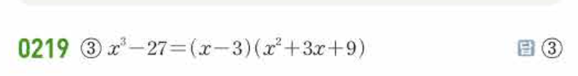
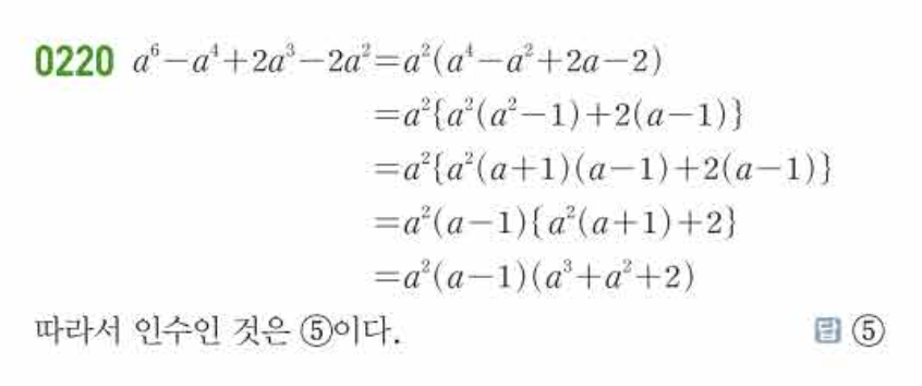
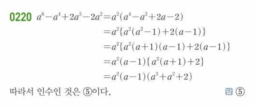
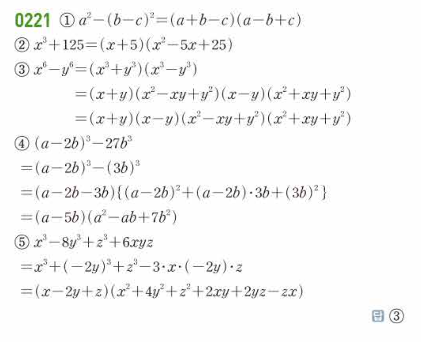
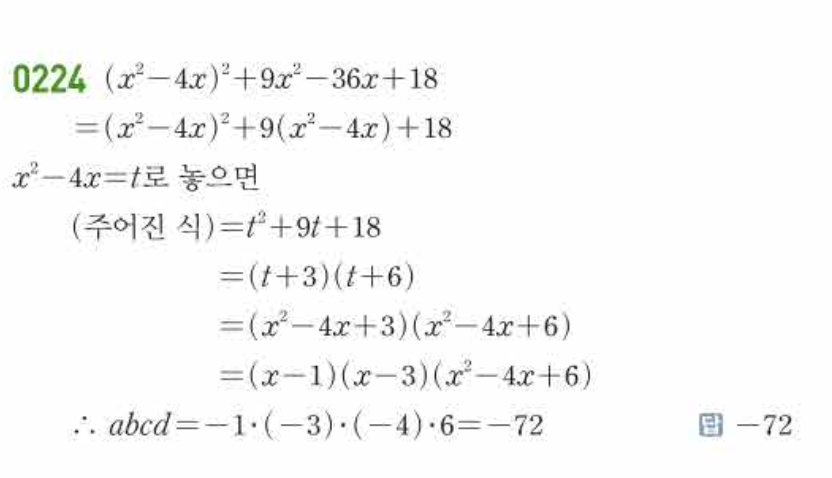
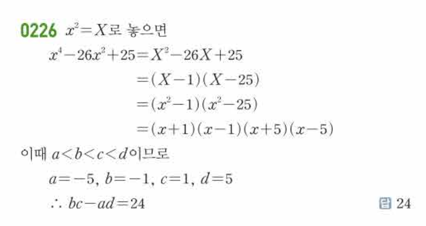
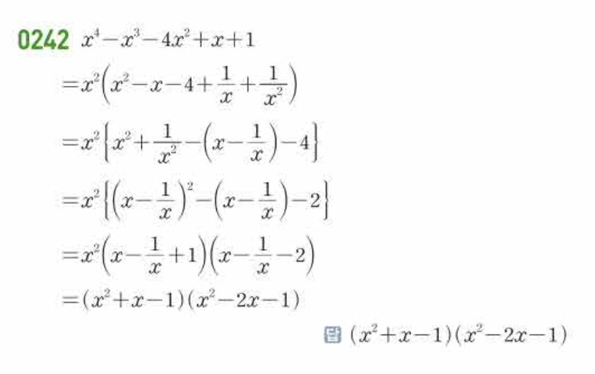
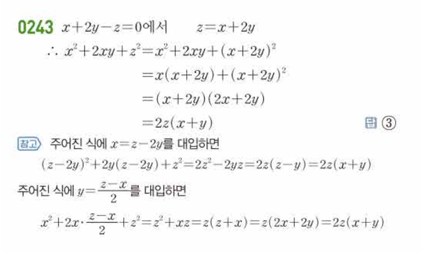
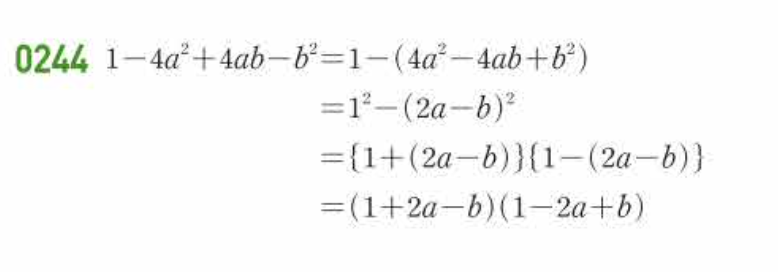
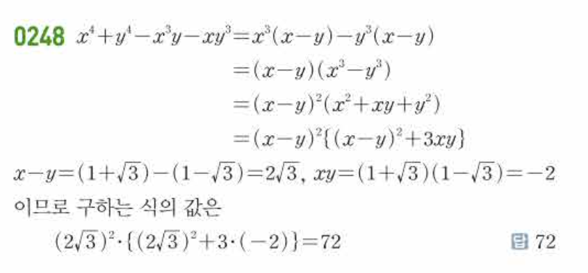
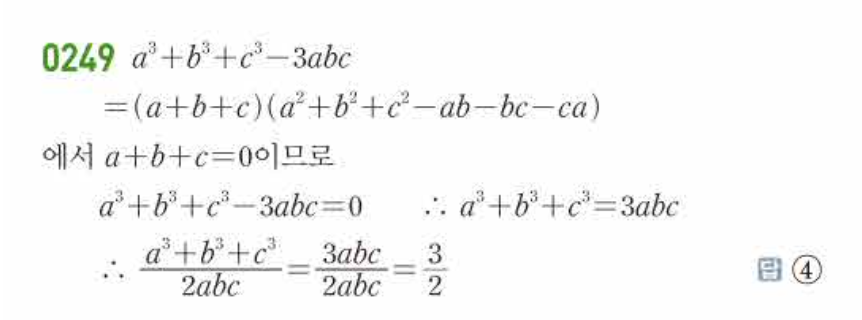
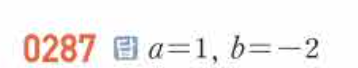
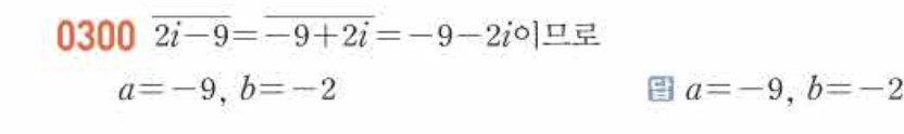
다운로드없이 바로보는 사진답지(아래로 스크롤)












































































































































































































































































































반응형